-  
           
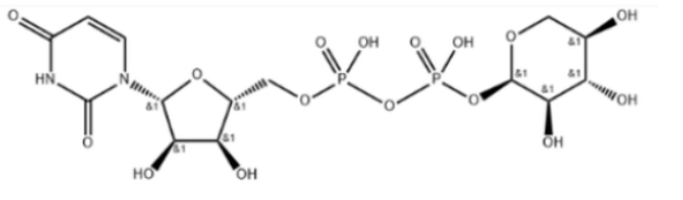
          作者:zhn 日期:2022-05-05udp木糖|CAS:108320-89-4|UDP-a-D-Xylosedisodium 
-  
           
          作者:zyl 日期:2022-04-25海藻糖又称为漏芦糖、蕈糖,是由两个葡萄糖分子组成的一个非还原性双糖。结构式为α-D-吡喃葡糖基~α-D-吡喃葡糖苷,经常以二水化合物存在,分子式为C12H22O11·2H2O 
-  
           
          作者:zyl 日期:2022-04-25一种巯基化透明质酸,其特征是:其是将透明质酸或其盐的部分羟基替换为含有巯基的酯基而得;优选的,巯基的取代度为10%-40%,所述巯基的取代度指的是巯基摩尔数与透明质酸双糖单元摩尔数的比值。 
-  
           
          作者:zhn 日期:2022-04-22UDP-葡萄糖,cas:133-89-1, UDP glucuronic acid, UDP-glucose, 一种核苷酸糖 
-  
           
          作者:zhn 日期:2022-04-21西安齐岳生物科技有限公司于2015年7月成立的西安一家从事,化学,生命科学的科研试剂公司 
-  
           
          作者:zhn 日期:2022-03-11UDP糖| CAS:1526988-33-9;UDP-L-Rha;尿苷5′-二磷酸-a-L-鼠李糖二钠盐;UDP-鼠李糖 
-  
           
          作者:zhn 日期:2022-03-10UDP-GalA; CAS:148407-07-2; 尿苷5′-二磷酸三钠盐二钠盐;齐岳生物UDP糖试剂推荐;UDP-a-D-galacturonidetrisodiemsalt 
-  
           
          作者:zhn 日期:2022-03-10UDP-GlcA, CAS:63700-19-6,尿苷5'-二磷酸葡萄糖醛酸三钠,Uridine 5'-diphosphoglucuronic Acid Trisodium 
-  
           
          作者:zhn 日期:2022-03-10UDP糖| UDP-6-N3-Galactose, cas: 868141-12-2, UDP-6-叠氮-6-脱氧-D-半乳糖二钠盐;供应商:西安齐岳生物科技有限公司 
-  
           
          作者:zhn 日期:2022-03-10UDP糖|UDP-GALNAC,cas:7277-98-7,UDP-半乳糖二钠盐,UDP-GalNAc,包装:10mg,25mg,50mg,100mg,500mg,1g,5g,10g 
-  
           
          作者:zhn 日期:2022-03-10UDP糖 | UDP-6-N3-Glu| cas:63700-19-6|尿苷二磷酸-6-叠氮-葡萄糖;UDP-葡萄糖醛酸转移酶是一种结合在内质网上的膜蛋白。它在把葡萄糖醛酸从UDP-葡萄糖醛酸 UDP-glucuronic acid (UDPGA) 转移到其他分子(通常是疏水分子)上的过程中起到催化作用。在此催化过程中,大大提高了受体分子的水溶性,促进了这些分子从体内的外排。 
-  
           
          作者:zhn 日期:2022-03-09UDP糖| cas:137868-52-1, cas:2956-16-3,UDP-galactose,UDP-Ga,UDP-Α-D半乳糖二钠盐 
-  
           
          作者:zhn 日期:2022-03-09UDP糖 | UDP-GlcA;CAS: 63700-19-6;尿苷5'-二磷酸葡萄糖醛酸三钠;UDP-葡萄醛酸三钠盐 
-  
           
          作者:zhn 日期:2022-03-09UDP糖|cas: 108320-89-4 UDP-D-木糖 | 尿苷二磷酸木糖| UDP-xylose,英文名UDP-xylose; UDP-a-D-xylopyranose;Uridine diphosphate xylose; Uridine diphospho-a-D-xylopyranose; Uridine diphosphoxylose 
-  
           
          作者:zhn 日期:2022-03-04Kdo Azide|cas:1380099-68-2|Kdo-Azide|3-去氧-D-甘露-2-辛酮糖酸叠氮糖;西安齐岳生物科技有限公司是一家从事,化学,生命科学的科研试剂公司。2015年发展至今,公司经营产品种类多达上百种,销售产品十几万个,公司一直致力于为科研客户提供优质的产品服务,广泛的产品种类,有价格竞争力的科研试剂。 



















 齐岳微信公众号
齐岳微信公众号
         官方微信
官方微信
         库存查询
库存查询