精氨酸-PNA|精氨酸修饰多肽核酸PNA|Arg-PNA|Bz-Arg-PNA的解析说明
产品名称:精氨酸-PNA
别称:精氨酸修饰多肽核酸PNA
Arg-PNA
Bz-Arg-PNA
纯度:98%
包装:mg级和g级
地址:西安
服务:肽核酸PNA定制服务
溶解度:可溶于DMF、DMSO等
状态:固体/粉末/溶液
保存:冷藏
用途:科研
厂家:西安齐岳生物科技有限公司
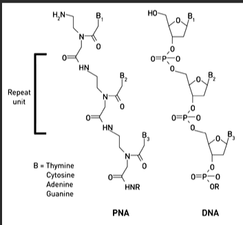
PNA(Peptidenucleicacid,肽核酸)是一种人工合成的类似于DNA,RNA的化学物质。PNA的骨架是由重复的N-2-(氨乙基)-甘氨酸为单位,经由肽键组合而成。碱基与骨架之间是以亚甲羧键相连。与多肽相似的是,PNA也有N端和C端的差别

西安齐岳生物科技有限公司是一家从事MOF,离子液体 ,PEG衍生物、科研试剂、多肽、光电材料、碳纳米管、纳米材料、脂质体、合成磷脂的研发、定制合成、生产和销售的生物科技有限公司
西安齐岳生物提供的PNA肽核酸定制服务有以下几点:
1.供应活性基团功能化肽核酸,活性基团包括(NH2氨基,COOH羧酸,MAL马来酰亚胺,NHS,SH炔基,Biotin生物素,CHO醛基乙醛,OH羟基,HZ酰基
)
2.供应荧光素修饰标记肽核酸,荧光素包括(FITC,5-羧基荧光素,5-FAM,四甲基罗丹明,TRITC,羧甲基荧光素,花菁染料CY系列)
3.供应氨基酸修饰肽核酸,氨基酸包括(酪氨酸Tyr,亮氨酸Leu,缬氨酸Val,丙氨酸Ala,精氨酸Arg,赖氨酸Lys等.)
4.供应PNA肽核酸修饰改性纳米材料,如:PNA肽核酸修饰金纳米棒/纳米银/氮化碳纳米片等
5.供应PNA肽核酸修饰各种多肽
相关产品目录:
多肽修饰PNA肽核酸
三肽基对硝基苯胺PNA肽核酸
三肽基对硝基苯胺PNA肽核酸
三肽基对硝基苯胺PNA肽核酸
叶酸修饰PNA肽核酸
功能基肽核酸单体
pna修饰α-糜蛋白酶**剂
活性基团功能化肽核酸
氨基功能化肽核酸PNA
羧酸修饰PNA肽核酸
马来酰亚胺偶联PNA肽核酸
N-羟基琥珀酰亚胺修饰PNA肽核酸
叠氮功能化肽核酸PNA
炔基偶联PNA肽核酸
巯基功能化肽核酸PNA
酰基功能化肽核酸
生物素标记PNA肽核酸
厂家:西安齐岳生物科技有限公司
以上资料来自小编axc,2022.07.20
温馨提示:以上文中提到的产品仅用于科研,不能用于人体




齐岳微信公众号
官方微信
库存查询