描述:二硬脂酰基磷脂酰乙醇胺. 英文通用名. Distearoyl Phosphoethanolamine. CAS. 1069-79-0. 分子量. 748.1. 分子式. C41H82NO8P.
聚乙二醇是一种高分子聚合物,化学式是HO(CH2CH2O)nH ,由环氧乙烷与水或乙二醇逐步加成聚合而成。无刺激性,味微苦,具有良好的水溶性。
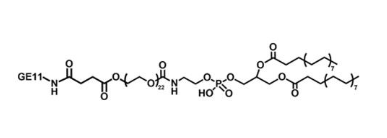
产品名称 GE11-PEG-DSPE,细胞表皮生长因子肽GE11-聚乙二醇-磷脂
中文名称 细胞表皮生长因子肽GE11-聚乙二醇-磷脂
英文名称 GE11-PEG-DSPE
分子量 10000
CAS N/A
溶解度 有机溶剂等
其它分子量 1000、2000、3400、5000
存储条件 -20℃以下冰冻、干燥、避光。长期保存惰性(氩气或者氮气)保护。

西安齐岳生物科技有限公司提供高分子聚合物DSPE-PEG、DPPE-PEG、DOPE-PEG、PLGA-PEG、PCL-PEG、PLA-PEG、DSPE、DOPE修饰多肽细胞穿膜肽、主动靶向肽(新生血管、淋巴管)、**类多肽等等。
高分子分子量 2000、3000、5000、10000
PEG分子量:1000、2000、3000、5000
产品用途:参与靶向药物递送系统(targeted drug delivery system,TDDS)构建
相关产品
DSPE-PEG-NGR(GGCNGRC),新生血管靶向肽NGR-聚乙二醇-磷脂
DSPE-PEG-R8,磷脂-聚乙二醇-靶向穿膜肽R8
DSPE-PEG-KRWWKWWRR
DSPE-PEG-RVG29
DSPE-PEG-TH(AGYLLGHINLHHLAHL(Aib)HHIL)
DSPE-PEG-Angiopep-2
DSPE-PEG-T7(HAIYPRH)
磷脂-聚乙二醇-靶向穿膜肽TAT TAT-PEG-DSPE
产地:西安
储存时间:1年
保存:冷藏
厂家:西安齐岳生物科技有限公司




齐岳微信公众号
官方微信
库存查询