DBCO-PEG4-MMAF CAS号:2360411-65-8 是抗体偶联药物的一部分
发布时间:2022-08-22     作者:zhn   分享到:
DBCO-PEG4-MMAF 是抗体偶联药物的一部分,由微管蛋白聚合**剂 MMAF 和可降解的 ADC linker DBCO-PEG4 组成。
DBCO-PEG4-MMAF名称
英文名DBCO-PEG4-MMAF
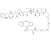
结构式:

DBCO-PEG4-MMAF生物活性
描述DBCO-PEG4-MMAF 是抗体偶联药物的一部分,由微管蛋白聚合**剂 MMAF 和可降解的 ADC linker DBCO-PEG4 组成。
靶点
Auristatin
SMILESO=C(N1C2=CC=CC=C2C#CC3=CC=CC=C3C1)CCC(NCCOCCOCCOCCOCCC(N(C)[C@@H](C(C)C)C(N[C@@H](C(C)C)C(N(C)[C@]([C@@H](C)CC)([H])[C@H](OC)CC(N(CCC4)[C@]4([H])[C@H](OC)[C@@H](C)C(N[C@H](C(O)=O)CC5=CC=CC=C5)=O)=O)=O)=O)=O)=O
DBCO-PEG4-MMAF物理化学性质
分子式C69H99N7O15
分子量1266.56
纯度:98%
产地:西安
包装:瓶装
以上资料来自齐岳生物小编zhn2022.08.22
相关产品:
TCO-MMAE
MAL-tri-EG-OPFP95%mg - kg
MAL-tetra-EG-OPFP95%mg - kg
N3-di-EG-OPFP95%mg - kg
N3-tri-EG-OPFP95%mg - kg
N3-tetra-EG-OPFP95%mg - kg
ALD-BZ-OSu95%mg - kg
ALD-di-EG-OSu95%mg - kg
ALD-tetra-EG-OSu95%mg - kg




齐岳微信公众号
官方微信
库存查询