pH/还原/酶环境响应型磁共振Gd基纳米造影剂-齐岳生物
西安齐岳生物长期供应纳米载体系统(包括各类纳米粒、脂质体、胶束等)
常见的响应型磁共振纳米造影剂包括以下三种
响应型磁共振纳米造影剂类型 |
特点 |
1.pH响应磁共振纳米造影剂 |
环境pH值改变时发生形态改变增强MRI效果 |
2.还原响应磁共振纳米造影剂 |
二硫键的应用实现造影剂的还原响应性 |
3.酶响应型磁共振纳米造影剂 |
酶促反应提高了r1弛豫率 |
1.pH响应磁共振纳米造影剂
pH响应型磁共振纳米造影剂的主要可以分为以下两种:一是当环境pH值改变时,造影剂裂解并释放出离子;二是造影剂本身在环境pH值改变时发生形态改变,如变小、变大或“解体”等。这两种方式均可增强MRI效果。表面修饰是实现纳米颗粒功能化的常用方法。
pH活性造影剂**的是基于多聚鸟氨酸的配合物,该造影剂包含114个鸟氨酸,其中有30个与Gd(Ⅲ)-DO3A相连。当pH较小时,鸟氨酸中游离的氨基质子化,整个结构中局部可以转动;当pH较大的时候,这些游离的氨基去质子化,并且形成分子内氢键,整个结构变成刚性,τR增大,所以弛豫效率相应地由23 L·mmol-1·s-1增大至32 L·mmol-1·s-1。由此可见,该造影剂的弛豫效率对pH具有依赖性。
羧基氨基PEG修饰纳米金笼
Gd偶联聚赖氨酸PLL
Gd偶联蛋白A (Protein A)
Gd偶连白蛋白BSA/HAS
Gd偶连磷脂/Gd-PEG-DSPE
Gd修饰载药脂质体定制
模型抗原OVA纳米载体
Gd磁共振钆T1造影剂脂质体
G5-DOTA-Gd 树枝状聚合物钆材料
Dex-DOTA-Gd
Dextran-DOTA-Gd 钆修饰的葡聚糖
PLL-PEG-Gd 聚赖氨酸-聚乙二醇-钆
pDHPMA-Cy5.5-DOTA-Gd
DOTA-Gd-peptide 钆修饰多肽
Biotin-Gd-DOTA 生物素修饰的钆
HA-DOTA-Gd 透明质酸修饰钆造影剂
Silica-coated Gd(DOTA) 钆修饰二氧化硅
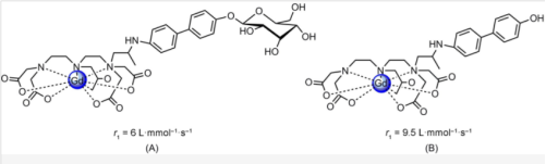
2.还原响应磁共振纳米造影剂
还原性条件的化学键可构建还原响应型造影剂,常用的化学键包括二硫键、二硒键和琥珀酰亚胺-硫醚键等。使用二硫键将介质SiO2复合微球与Gd螯合物相连,二硫键在血液循环中可以保持相对稳定,到达还原性的**微环境(GSH)时二硫键发生断键反应,释放出Gd基螯合物用于MRI-T1成像,二硫键的应用能够实现造影剂的还原响应性。Ye等使用二硫键连接自组装的大分子和Gd基纳米粒子,在细胞内还原性GSH的作用下,二硫键迅速断裂,暴露出Gd基纳米粒子,弛豫率可高达r1=34.2 L/(mmol·s),与中性环境中相比r1增加60%,**提高了MRI-T1增强效果。

DOTA-Gd-SS
PAMAM-PEG-DOTA-Gd
PAMAM-DOTA-Gd
PAMAM-DOTA-ss-Gd
DOTA-Gd-ss-cRGD
DOTA-Gd-dendrimer
BSA-Gd 牛血清白蛋白偶联钆
DMPE-DTPA-Gd-DMPE
DPPE-DTPA-Gd-DPPE
DSPE-DTPA-Gd-DSPE
DOTA-ss-NHS-Gd
DOTA-ss-MAL-Gd
DOTA-ss-SH-Gd
DOTA-ss-Folate-Gd
DOTA-ss-FITC-Gd
DOTA-ss-N3-Gd
3.酶响应型磁共振纳米造影剂
酶响应型磁共振纳米造影剂,用来实现**微环境响应型成像。天冬氨酸特异性半胱氨酸蛋白酶3/7(caspase-3/7)在细胞凋亡中发挥重要作用,可以用来评价**放化疗的效果。Ye等以二硫键为连接臂,将大分子和Gd纳米粒子进行“自组装”,构建响应型MRI-T1造影剂,在还原性的**微环境中二硫键断裂,与caspase-3/7反应接触后的酶促反应增加了Gd基与水分子接触概率,并**提高了r1弛豫率。

齐岳生物供应的Gd复合材料有以下产品:
Gd-DTPA loaded Liposome
Gd-DOTA-RGD
Gd-DOTA-C6-DSPE
Gd-DOTA(H2O)2
Gd-DTPA(H2O)2
Gd-DOTA-Bodipy
PEG-b-poly(Lys-DOTA-Gd)
Gd-DTPA-BMA
Gd-HP-DO3A
Gd-EOB-DTPA
Gd-BOPTA
Albumine-Gd-DTPA
Dextran-Gd-DTPA
Polylysine-Gd-DTPA
DTPA-BMA
DTPA-BMEA
Gd-BT-DO3A
Gd-DOTA-GA
Glu-DTPA-Gd
CLT1-dL-(DOTA-Gd)
Alkynyl-DOTA-Gd
DOTA-Gd-Biotin
Stearoyl-DOTA-Gd-PEG6-N3
Gd-DOTA-Peptide
5-Gd-DOTA-CS
DOTA-Gd-N3
Gd-DOTA-TPP
DOTA-Gd-PEG-DSPE
PLGA-PEG-Gd
PCL-PEG-Gd
Albumin-Gd
Folate-Gd-BSA
DSPE-PEG-Gd
DOTA-Crgd
DOTA-Biotin
DOTA-PLL
DOTA-lysine-biotin
DOTA-folate
mannose-HAS
DOTA-Colchicine
DOTA-PAMAM G3
Tm-DOTMA
Eu-DOTA-4AmC
DPPE-DTPA-Gd
DSPE-DTPA-Gd
DMPE-DTPA-Gd-DMPE
DPPE-DTPA-Gd-DPPE
DSPE-DTPA-Gd-DSPE
14:0 PE-DTPA (Gd)
PAMAM-PEG-DOTA-Gd
PAMAM-DOTA-Gd
DOTA-PEG-NHS/MAL/SH/Folate/FITC/N3
DOTA-Gd-cRGD
DOTA-Gd-dendrimer
BSA-Gd 牛血清白蛋白偶联钆
DMPE-DTPA-Gd-DMPE
DPPE-DTPA-Gd-DPPE
DSPE-DTPA-Gd-DSPE
以上资料源于西安齐岳生物科技有限公司
Xi'an qiyue Biological Technology Co;Ltd




齐岳微信公众号
官方微信
库存查询