含羟基与氨基双功能化离子液体(ILs)固定二氧化碳的催化性能研究
发布时间:2020-12-17  作者:zhn  分享到:
含羟基与氨基双功能化离子液体(ILs)固定二氧化碳的催化性能研究
西安齐岳生物供应离子液体的定制合成、提供过各类功能性离子液体,包括冠醚类阳离子、氨基功能化阳离子、布洛芬阴离子等。提供更多功能化离子液体的定制合成。
含羟基与氨基双功能化离子液体固定二氧化碳
离子液体(ILs)因其具有的宽电化学窗口、热稳定性好、难挥发性等优点在备受关注。随着对催化CO2合成环状碳酸酯的研究,发现氨基与羟基对CO2催化合成环状碳酸酯有催化活性,并且氨基还有吸收CO2的能力。因此如果能够设计合成出相应的含氨基与羟基的离子液体,即可催化合成环状碳酸酯。
基于以上情况,通过合成含有羟基与氨基的离子液体,并将其用于催化合成环状碳酸酯,表现出良好的催化活性。

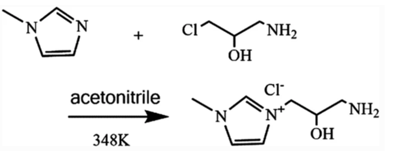
图1. 离子液体催化剂的合成
先合成了含羟基与氨基的离子液体,并用NMR对合成了化合物进行了表征。然后对其催化能力进行了测试,采用CO2与PO为相同的摩尔比,发现该催化剂对该反应的转化率和选择性分别为80.1%和92.5%。然而,在相同的反应条件下,当使用1-甲基-3-氨基丙基咪唑鎓氯盐作为催化剂时,PO的转化率和选择性分别为43.6%和85.7%。

图2. 离子液体与PO的相互作用计算

图3. 可能的作用机理
随后通过量子化学计算先确定了低能量的IL和PO化合物的稳定和平衡结构,并研究了IL和PO之间的相互作用能,发现两者之间存在着氢键相互作用,通过分析表面静电势推测了该反应的反应机理。
西安齐岳生物提供的离子液体有:
以上产品均可以提供离子液体的定制合成,官能团改性定制合成。
以上资料来自小编zhn2020.12.17




齐岳微信公众号
官方微信
库存查询