DSPE-PEG-PDP磷脂聚乙二醇丙酰胺双巯基吡啶
DSPE-PEG-PDP DSPE-PEG-OPSS 磷脂-聚乙二醇-巯基吡啶用于靶向给药
一、详情介绍
1、名称
中文: 磷脂-聚乙二醇-巯基
英文:DSPE-PEG-PDP,DSPE-PEG-OPSS
2、描述
DSPE-PEG-OPSS分子量:10k。质量控制在95%+,主要用于科研实验使用。它溶于水和缓冲液、二氯甲烷、氯仿、DMF、DMSO,较少溶于醇、甲苯,不溶于乙醚。产品外观为粉末状。需在-20°冷冻、避光、干燥储藏。温馨提示:此类产品应现配现用,取用后充入惰性气体,封口膜封口,拧紧瓶盖装入自封袋,及时放入冰箱。
厂家:西安齐岳生物科技有限公司
用途:科研
状态:固体/粉末/溶液
产地:西安
储存时间:1年
保存:冷藏
储藏条件:-20℃
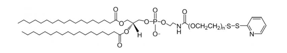
结构式:

产品说明:
磷脂PEG巯基吡啶(DSPE-PEG-OPSS)可以用来修饰蛋白质、多肽和其他带有活性基团的材料。该产品是一种能与游离巯基反应的活性磷脂PEG衍生物,用于靶向给药。DSPE(1,2-二硬脂酰-sn-甘油-3-磷酸乙醇胺)是一种高度疏水的18碳磷脂。
温馨提醒:仅供科研,不能用于人体实验
相关产品:
DSPE-PEG2K-MAL 磷脂-聚乙二醇-马来酰亚胺DSPE-PEG-MAL
DSPE-PEG2K-BIOTIN 磷脂-聚乙二醇-生物素 DSPE-PEG-BIOTIN
DSPE-PEG2K 磷脂-聚乙二醇DSPE-PEG
DSPE-PEG2000-多肽PLGLAG 磷脂-聚乙二醇-多肽 DSPE-PEG-PLGLAG
DSPE-PEG2000-TPP磷酸三苯酯-聚乙二醇-磷脂 TPP-PEG-DSPE
DSPE-PEG2000-NHS磷脂-聚乙二醇-N-羟基琥珀酰亚胺DSPE-PEG-NHS
DSPE-PEG2000-Man 磷脂-聚乙二醇-甘露糖DSPE-PEG-Man
DSPE-PEG2000-L-Fucose 磷脂-聚乙二醇-岩藻糖 DSPE-PEG-L-Fucose




齐岳微信公众号
官方微信
库存查询