葡聚糖-氨基,Dextran-NH2,Amine-葡聚糖,葡聚糖-NH2,齐岳生物提供氨基功能化葡聚糖/葡萄糖/乳糖基/黄原胶/岩藻多糖等定制服务
氨基葡萄糖是葡萄糖的一个羟基被氨基取代后的化合物。其是一种氨基单糖,是合成氨基聚糖的基本物质
中文名称:葡聚糖-氨基
英文名称:Dextran-NH2
别称:氨基功能化葡聚糖,Amine-葡聚糖,葡聚糖-NH2
分子式:C6H13NO5
性状:类白色或浅黄色的结晶性粉末。
种类:氨基葡萄糖硫酸盐、氨基葡萄糖盐酸盐,
Dextran-NH2、葡聚糖-氨基(氨基化葡聚糖)
葡聚糖的分子量:4000,5000,6000,7000,9000,10000,20000,40000,70000等等,可定制
氨基取代度为20%:例如采用20000分子量的葡聚糖,对其进行氨基化修饰,取代度为20%,溶剂:DMSO等常规有机溶剂。
性状:基于不同的分子量,呈白色/类白色固体粉末,或絮状固体。
稳定性:冷藏保存,避免反复冻融。
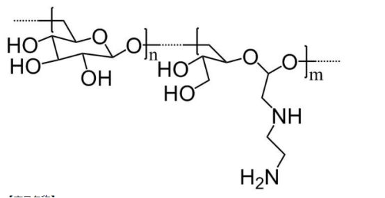
结构式


西安齐岳生物有能力合成活化功能基团的ICG衍生物产品,包含氨基NH2、COOH羧基、NHS活化脂、MAL马来酰亚胺、SH巯基、N3叠氮、ALK炔烃、Biotin生物素。我们可以把多糖偶连各种亲水疏水聚合物、各种蛋白、各种小分子、各种多肽等等。
产品目录:
葡聚糖-氨基 Dextran-NH2
葡聚糖-羧酸 Dextran-COOH
葡聚糖-马来酰亚胺 Dextran-MAL
葡聚糖-N-羟基琥珀酰亚胺 Dextran-NHS
葡聚糖-叠氮 Dextran-N3
葡聚糖-炔基 Dextran-Alkyne
葡聚糖-巯基 Dextran-SH
葡聚糖-生物素 Dextran-Biotin
葡聚糖-醛基 Dextran-CHO
葡聚糖-巯基吡啶 Dextran-OPSS
葡聚糖-羟基 Dextran-OH
葡聚糖-酰基 Dextran-Hydrazide
葡聚糖-硅烷 Dextran-Silane
葡聚糖-丙烯酸酯 Dextran-Acrylates
葡聚糖-硫辛酸 Dextran-Lipoic acid
葡聚糖-甲苯磺酸酯 Dextran-Tosyl
葡聚糖- Dextran-Acetylthio
葡聚糖-氨甲基 Dextran-Aminooxy
葡聚糖-硝基苯碳酸盐 Dextran-Nitrophenyl Carbonates
厂家:西安齐岳生物科技有限公司
以上资料来自小编axc,2022.09.20
以上文中提到的产品仅用于科研,不能用于人体。





齐岳微信公众号
官方微信
库存查询