马来酰亚胺功能化葡聚糖,葡聚糖-马来酰亚胺,Dextran-MAL的注意事项
产品名称: 葡聚糖-马来酰亚胺,葡聚糖-MAL,马来酰亚胺功能化葡聚糖
英文名称:Dextran-MAL
PEG分子量可选:350,550,750,1k,2k,3.4k,5k,10k,20k(可按需定制)
纯度:95%+
存储条件:-20°C,避光,避湿
外观: 固体或粘性液体,取决于分子量
包装:瓶装/袋装
溶解性:溶于大部分有机溶剂,如:DCM、DMF、DMSO、THF等等。在水中有很好的溶解性
注意事项:取用一定要干燥,避免频繁的溶解和冻干
用途:仅供科研实验使用,不用于诊治
地址:西安
厂家:西安齐岳生物科技有限公司
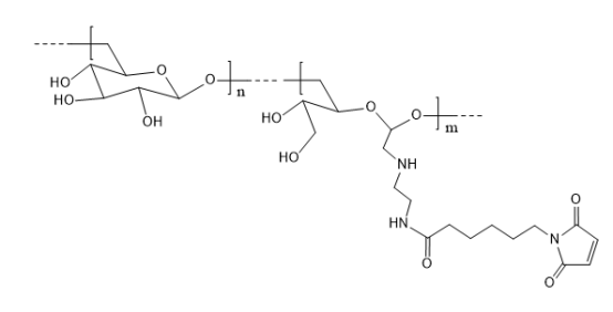
结构式

Dextran葡聚糖(右旋糖酐Dextran),是一类具支链葡萄糖高聚物,他不带电荷,呈电中性,易溶于水,葡聚糖跟PEG一样具有良好的生物相容性,毒性较低适用于动物体内,葡聚糖还是一种生物可降解高分子聚合物,它可降解为低分子的糖,我公司可以提供分子量5K/10K/20K/40K/70K/100K等不同分子量的产品。
产品目录:
葡聚糖-二苯基环辛炔 Dextran-DBCO
葡聚糖-反式环辛烯 Dextran-TCO
葡聚糖-四嗪 Dextran-TZ
葡聚糖-叶酸 Dextran-FA
葡聚糖-半琥珀酸胆固醇 Dextran-CHEMS
葡聚糖-苯基 Dextran-Phenyl
葡聚糖-磷酸 Dextran-phosphoric acid
葡聚糖-次氮基三乙酸 Dextran-NTA
葡聚糖-五氟苯酚 Dextran-Pentafluorophenyl
葡聚糖-苯甲醛 Dextran-Benzaldehyde
葡聚糖-亚油酸 Dextran-linoleic acid
葡聚糖-甲磺酸酯 Dextran-Mesylate
厂家:西安齐岳生物科技有限公司
以上资料来自小编axc,2022.09.20
以上文中提到的产品仅用于科研,不能用于人体。





齐岳微信公众号
官方微信
库存查询