叠氮修饰的葡聚糖,Dextran-Azide,葡聚糖-N3,葡聚糖-Azide(点击化学偶联修饰多糖)
中文名称:葡聚糖-叠氮
英文名称:Dextran-Azide,Dextran-N3
别称:叠氮修饰葡聚糖,葡聚糖-N3
分子量:Dextran-Azide,Dextran-N3MW3000
Dextran-Azide,Dextran-N3MW5000
Dextran-Azide,Dextran-N3MW10000
Dextran-Azide,Dextran-N3MW40000
Dextran-Azide,Dextran-N3MW70000
Dextran-Azide,Dextran-N3MW100000
Dextran-Azide,Dextran-N3MW500k
质量:90%+
溶解性:SolubleinDMSOorDMF.
保存:-20℃2年
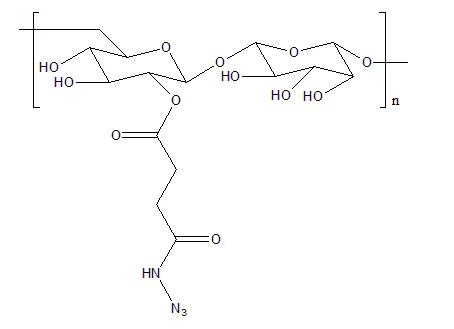
结构式:

Dextran葡聚糖(右旋糖酐Dextran),是一类具支链葡萄糖高聚物,他不带电荷,呈电中性,易溶于水,葡聚糖跟PEG一样具有良好的生物相容性,毒性较低适用于动物体内,葡聚糖还是一种生物可降解高分子聚合物,它可降解为低分子的糖,
齐岳生物可以提供的几种多糖系列产品:
多糖系列一:海藻酸钠Alginate衍生物系列:
多糖系列二:Chitosan壳聚糖衍生物系列
多糖系列三:Dextran葡聚糖衍生物系列
多糖系列四:Heparin肝素衍生物系列产品
多糖系列产品五:Chondroitin-Sulfate硫酸软骨素衍生物系列产品
多糖系列产品六:纤维素衍生物系列产品
多糖系列产品七:聚蔗糖衍生物系列产品Ficoll & Conjugates

产品目录:
叠氮PEG,DSPE PEG,荧光PEG等。
葡聚糖-6-羧甲基荧光素 Dextran-6-FAM
葡聚糖-异硫氰基荧光素 Dextran-FITC
葡聚糖-荧光染料CY3 Dextran-Cyanine3
葡聚糖-菁染料CY5 Dextran-Cyanine5
葡聚糖-近红外染料CY5.5 Dextran-Cyanine5.5
葡聚糖-七甲川染料CY7 Dextran-Cyanine7
葡聚糖-菁染料CY7.5 Dextran-Cyanine7.5
葡聚糖-罗丹明B Dextran-Rhodamine B
葡聚糖-吲哚菁绿 Dextran-Indocyanine green
葡聚糖-香豆素 Dextran-Comarin
厂家:西安齐岳生物科技有限公司
以上资料来自小编axc,2022.09.20
以上文中提到的产品仅用于科研,不能用于人体。




齐岳微信公众号
官方微信
库存查询