巯基化葡聚糖,Dextran-SH,葡聚糖-巯基,葡聚糖-SH,Thiol-葡聚糖的存储条件
发布时间:2022-09-20     作者:axc   分享到:
巯基化葡聚糖,Dextran-SH,葡聚糖-巯基,葡聚糖-SH,Thiol-葡聚糖的存储条件
葡聚糖(右旋糖酐)是一种多糖,具有良好的水溶性、低*性和分子量变化。染料和其它生物分子修饰的右旋糖酐已成功地用作活细胞的长期示踪剂。我们也为您的特殊需要提供定制的葡聚糖产品。
产品名称:葡聚糖-巯基
英文名称: Dextran-SH
别称:巯基化葡聚糖,葡聚糖-SH,Thiol-葡聚糖
纯度:95%+
存储条件:-20°C,避光,避湿
外观: 固体或粘性液体,取决于分子量
包装:瓶装/袋装
溶解性:溶于大部分有机溶剂,如:DCM、DMF、DMSO、THF等等。在水中有很好的溶解性
注意事项:取用一定要干燥,避免频繁的溶解和冻干
用途:仅供科研实验使用,不用于诊治
地址:西安
厂家:西安齐岳生物科技有限公司
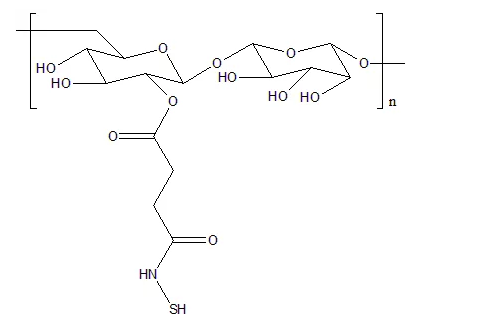
结构式:

西安齐岳生物可以提供基于甘露糖修饰偶联科研、剂、荧光分子、磷脂、其他小分子化合物、聚合物、多肽和蛋白和活性基团修饰等定制产品。
1:甘露糖-物定制:FITC/TRITC/CY3/CY5/CY5.5/CY7/CY7.5/ICG/FA
2:甘露糖-聚合物定制:PEG/PEI/dextran/PLAG/PCL/PLA/PAA
3:甘露糖--多肽,蛋白定制
4:氨基酸-活性基团(NH2/MAL/COOH/NHS/N3/ALK/DBCO)定制
5:氨基酸-小分子定制(科研剂荧光分子磷脂其他小分子化合物)
产品目录:
| Dextran-NH2 | 葡聚糖-氨基 |
| Dextran-COOH | 葡聚糖-羧酸 |
| Dextran-MAL | 葡聚糖-马来酰亚胺 |
| Dextran-NHS | 葡聚糖-N-羟基琥珀酰亚胺 |
| Dextran-N3 | 葡聚糖-叠氮 |
| Dextran-Alkyne | 葡聚糖-炔基 |
| Dextran-SH | 葡聚糖-巯基 |
| Dextran-Biotin | 葡聚糖-生物素 |
| Dextran-CHO | 葡聚糖-醛基 |
| Dextran-OPSS | 葡聚糖-巯基吡啶 |
| Dextran-OH | 葡聚糖-羟基 |
| Dextran-Hydrazide | 葡聚糖-酰基 |
| Dextran-Silane | 葡聚糖-硅烷 |
| Dextran-Acrylates | 葡聚糖-丙烯酸酯 |
| Dextran-Lipoic acid | 葡聚糖-硫辛酸 |
| Dextran-Tosyl | 葡聚糖-甲苯磺酸酯 |

厂家:西安齐岳生物科技有限公司
以上资料来自小编axc,2022.09.20
以上文中提到的产品仅用于科研,不能用于人体。




齐岳微信公众号
官方微信
库存查询