葡聚糖-生物素,Dextran-Biotin,生物素标记葡聚糖的外观状态|齐岳生物供应
葡聚糖Dextran是一种生物可降解、生物相容性较高的高分子聚合物材料,的葡聚糖Dextran可以作为体内细胞荧光检测材料,而像氨基修饰的葡聚糖则可以用于修饰其他的分子。
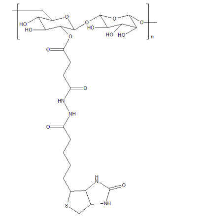
产品名称:葡聚糖-生物素
英文名称:Dextran-Biotin
别称:生物素修饰的葡聚糖,Biotin-葡聚糖
纯度:95%+
存储条件:-20°C,避光,避湿
外观状态:白色粉末
包装:瓶装/袋装
溶解性:溶于大部分有机溶剂,如:DCM、DMF、DMSO、THF等等。在水中有很好的溶解性
注意事项:取用一定要干燥,避免频繁的溶解和冻干
用途:仅供科研实验使用,不用于用途
地址:西安
厂家:西安齐岳生物科技有限公司
结构式:

西安齐岳生物有能力合成活化功能基团的ICG衍生物产品,包含氨基NH2、COOH羧基、NHS活化脂、MAL马来酰亚胺、SH巯基、N3叠氮、ALK炔烃、Biotin生物素。我们可以把多糖偶连各种亲水疏水聚合物、各种蛋白、各种小分子、各种多肽等等。
1.糖类产品
荧光BODIPY,NBD,FITC,TRITC, 罗丹明,香豆素,CY3 、CY5、CY5.5 CY7 CY7.5 ICG 近红外二区染料IR-*080 IR-*045 Flav7 IR 800,上转换纳米颗粒,荧光量子点修饰/标记/改性糖
2:活性基团改性糖类产品
Alkyne 炔基(含乙炔丙炔),N3叠氮,氨基,Biotin生物素,NHS,HS巯基,MAL马来酰亚胺,DBCO 叶酸, 多肽 PEG修饰/标记/改性糖
3:高分子或小分子组合或其他组合糖类产品
BSA、PLGA、PCL、 PLA、Chitosan、 HRP、量子点QDs、Concanavalin A、DSPE-PEG-
HA透明质酸、纳米金、Sepharose 4B、PAMAM-PEG、PAA、Ubiquitin、Albumin、PEG、PEI、PNIPAM、Dopamine、磷脂、Cisplatin顺铂、阿霉素 紫杉醇、Folate-PEG、RGD多肽、Biotin生物素 、HAS修饰/标记/改性糖
产品目录:
葡聚糖-聚乳酸 Dextran-PLA
葡聚糖-聚丙烯酸 Dextran-PAA
葡聚糖-聚丙乙烯 Dextran-Polystyrene
葡聚糖-聚乙烯亚胺 Dextran-PEI
葡聚糖-树枝状聚酰胺 Dextran-PAMAM
葡聚糖-聚N-异丙基丙烯酰胺 Dextran-PNIPAAm
葡聚糖-聚丙烯酸叔丁酯 Dextran-PtBA
葡聚糖-聚甲基丙烯酸甲酯 Dextran-PMMA
葡聚糖-聚4-乙烯基吡啶 Dextran-P4VP
葡聚糖-聚2-乙烯基吡啶 Dextran-P2VP
葡聚糖-聚苯硫醚 Dextran-PPS
葡聚糖-苯硼酸 Dextran-PBA
葡聚糖-聚(β-氨基酯) Dextran-PAE
葡聚糖-聚缩醛 Dextran-Polyacetal
葡聚糖-透明质酸 Dextran-Hyaluronic acid
葡聚糖-牛血清白蛋白 Dextran-BSA
厂家:西安齐岳生物科技有限公司
以上资料来自小编axc,2022.09.20
以上文中提到的产品仅用于科研,不能用于人体。





齐岳微信公众号
官方微信
库存查询