叶酸修饰葡聚糖,Dextran-Folicacid,葡聚糖-FA,葡聚糖-叶酸(多糖修饰偶联叶酸定制服务)
西安齐岳生物供应BSA、PLGA、PCL、 PLA、Chitosan、 HRP、量子点QDs、Concanavalin A、DSPE-PEG-HA透明质酸、纳米金、Sepharose 4B、PAMAM-PEG、PAA、Ubiquitin、Albumin、PEG、PEI、PNIPAM、Dopamine、磷脂、Cisplatin顺铂、阿霉素 紫杉醇、Folate-PEG、RGD多肽、Biotin生物素 、HAS修饰/标记/改性糖
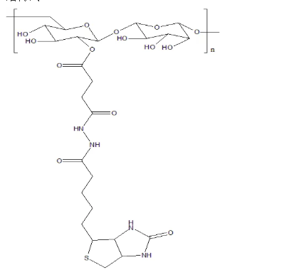
英名称:Dextran-Folicacid
中文名:叶酸修饰的葡聚糖,葡聚糖-叶酸FA
质量:90%+
溶解性:SolubleinDMSOorDMF.
保存:-20℃2年
结构式:

存储条件:-20°C,避光,避湿
外观: 固体或粘性液体,取决于分子量
包装:瓶装/袋装
溶解性:溶于大部分有机溶剂,如:DCM、DMF、DMSO、THF等等。在水中有很好的溶解性
注意事项:取用一定要干燥,避免频繁的溶解和冻干
用途:仅供科研实验使用,不用于诊治
地址:西安
厂家:西安齐岳生物科技有限公司
齐岳生物供应Alkyne 炔基,N3叠氮,氨基,Biotin生物素,NHS,HS巯基,MAL马来酰亚胺,DBCO 叶酸, 多肽PEG修饰/标记/改性糖,产品目录如下:
海藻酸钠-乙烯砜 alginate-Vinylsulfone
海藻酸钠-甲基丙烯酸酯 alginate-Methacrylate
海藻酸钠-碘乙酸盐 alginate-Iodoacetate
海藻酸钠-氯化物 alginate-Chloride
海藻酸钠-二苯基环辛炔 alginate-DBCO
海藻酸钠-反式环辛烯 alginate-TCO
海藻酸钠-四嗪 alginate-TZ
海藻酸钠-叶酸 alginate-FA
厂家:西安齐岳生物科技有限公司
以上资料来自小编axc,2022.09.20
以上文中提到的产品仅用于科研,不能用于人体。





齐岳微信公众号
官方微信
库存查询