Dextran-FIT,葡聚糖-异硫氰基荧光素,FITC-葡聚糖,FITC-Dextran,荧光染料FITC标记葡聚糖(保存方法)
中文名:FITC偶联葡聚糖标记物,异硫氰基荧光素-葡聚糖
英文:Fitc-Dextran
别称:异硫氰基荧光素标记葡聚糖,FITC标记葡聚糖
纯度:95%
分子量:10000.00
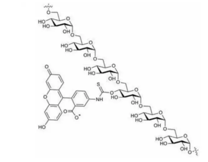
外观以及性质:FITC-Dextran (MW 10000) 是由 FITC 偶联葡聚糖形成的一种标记物 (10 kDa)。FITC-Dextran 是由不同长度的支链葡萄糖分子组成的被标记的多糖,可根据所使用的葡聚糖的大小来测定血脑屏障的溶质、离子和蛋白质渗透性。
结构式:

【包装规格】:5mg、10mg、50mg、100mg
【包装、贮存和使用事项】:
1、支持分装各种规格的产品,少量购买为铝箔袋或者自封袋包装
2、试剂一般溶于大部分有机溶剂,溶于水
2、本品应密封避光,储存于阴凉,干燥,通风处。
3、取用一定要干燥;避免频繁的溶解和冻干
相关产品:
海藻酸钠-二棕榈酰基磷脂酰乙醇胺 alginate-DPPE
海藻酸钠-二油酰基磷脂酰乙醇胺 alginate-DOPE
海藻酸钠-二肉豆蔻酰基磷脂酰乙醇胺 alginate-DMPE
海藻酸钠-二月桂酰基磷脂酰乙醇胺 alginate-DLPE
海藻酸钠-维生素D alginate-Vitamin D
海藻酸钠-维生素E alginate-Vitamin E
海藻酸钠-胆固醇 alginate-Cholesterol
海藻酸钠-硬脂酸 alginate-C18 Stearic Acid
海藻酸钠-棕榈酸 alginate-C16, palmitic acid
海藻酸钠-二肉豆蔻酰-sn-甘油 alginate-DMG
海藻酸钠-二棕榈酰磷脂酰丝氨酸 alginate-DPPS
海藻酸钠-聚乳酸-羟基乙酸共聚物 alginate-PLGA
厂家:西安齐岳生物科技有限公司
以上资料来自小编axc,2022.09.20
以上文中提到的产品仅用于科研,不能用于人体。





齐岳微信公众号
官方微信
库存查询