葡聚糖-CY3,CY3-葡聚糖,Dextran-Cyanine3,荧光染料CY3标记葡聚糖/右旋糖酐(近红外染料标记多糖)
齐岳生物供应罗丹明,香豆素,CY3 、CY5、CY5.5 CY7 CY7.5 ICG 近红外二区染料,上转换纳米颗粒,荧光量子点等修饰/标记/改性糖
产品名称:葡聚糖-CY3
英文名称:Dextran-Cyanine3
别称:荧光染料CY3标记葡聚糖,CY3-葡聚糖,Cyanine3-葡聚糖
纯度:95%+
外观 红色固体
包装:瓶装/袋装
分子量 70000Da
溶解度: 水溶
存储条件:-20°C,避光,避湿
保存时间 1年
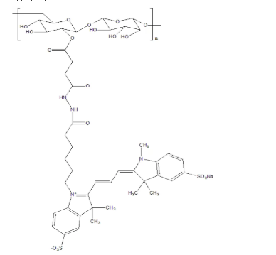
结构式:

我公司还可以提供一些小分子或蛋白偶连的葡聚糖产品如:
Biotin/Folicacid/cRGD/DBCO/DOTA/Cyclodextrin/Galactose/Streptavidin/BSA/HAS/ConcanavalinA等等
1:我公司可以提供一些的葡聚糖,
如FITC/Rhodamine/Cy3/Cy3.5/Cy5/Cy5.5/Cy7/Cy7.5/ICG
2:我公司还可以提供一些活化基团的葡聚糖产品如:
Amine/Thiol/Azide/Maleimide/Alkyne/NHS/COOH等基团
3:我公司还可以提供一些小分子或蛋白偶连的葡聚糖产品如:
Biotin/Folicacid/cRGD/DBCO/DOTA/Cyclodextrin/Galactose/Streptavidin/BSA/HAS/
ConcanavalinA等等
【包装规格】:5mg、10mg、50mg、100mg
【包装、贮存和使用事项】:
1、支持分装各种规格的产品,少量购买为铝箔袋或者自封袋包装
2、试剂一般溶于大部分有机溶剂,溶于水
2、本品应密封避光,储存于阴凉,干燥,通风处。
3、取用一定要干燥;避免频繁的溶解和冻干
厂家:西安齐岳生物科技有限公司
以上资料来自小编axc,2022.09.20
以上文中提到的产品仅用于科研,不能用于人体。





齐岳微信公众号
官方微信
库存查询