点击化学——DBCO(二苯并环辛炔)是一种环炔烃,可以通过在水溶液中通过应变促进的1,3-偶极环加成反应与叠氮化物反应,这种生物正交反应也称为无铜点击反应。 该反应具有选择性和生物相容性,因此互补试剂可以与功能生物系统形成共价键。 无铜点击反应一直是无催化剂生物共轭的有力工具。 DBCO试剂在水性缓冲液中具有稳定性,可用于以高特异性和反应性标记叠氮化物修饰的生物分子。
产品名称:DBCO-trisulfo-ICG,水溶性吲哚菁绿标记二苯并环辛炔
产品纯度:95%
保存时间:一年
保存取用:缓慢恢复至室温,取用后充入惰性气体,冷冻保存。
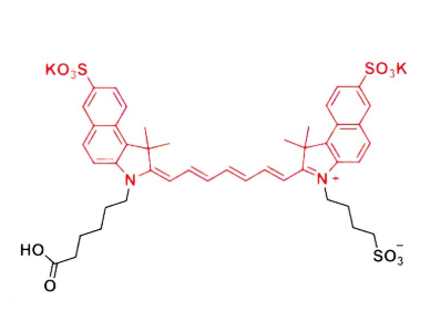
结构式

西安齐岳生物可以提供:
1:常规基团 NH2/MAL/COOH-PEG-荧光基团/蛋白/高分子聚合物/磷脂/小分子/糖类
2:荧光基团FITC/RB/CY3/CY5-PEG-多肽/蛋白/高分子/小分子/糖类/聚合物
3:靶向分子 Folate//RGD/Chol/Dextran-PEG-常规活性基团/小分子/糖类/聚合物
4:聚合物类PCL/PLGA/PLA/PEI/PAMAM-PEG-常规活性基团/*规活性基团/荧光基团/小分子
5:氨基酸类PLL/PGA/PASP/His-PEG-常规活性基团/糖类/聚合物/蛋白
6:双硫键产品 DSPE-SS-PEG-活性基团
相关产品;
DBCO-Isothiocyanate 二苯并环辛炔-异硫氰酸盐
DBCO-Isocyanate 二苯并环辛炔-异氰酸酯
DBCO-Dansyl 二苯并环辛炔-丹磺酰氯
DBCO-NBD 二苯并环辛炔-胆固醇
DBCO-Cyanur 二苯并环辛炔-氰尿酸
DBCO-TRITC 二苯并环辛炔-四甲基罗丹明
DBCO-6-FAM 二苯并环辛炔-6-羧甲基荧光素
厂家:西安齐岳生物科技有限公司
储存时间:1年
保存:冷藏
温馨提醒:仅供科研,不能用于人体实验




齐岳微信公众号
官方微信
库存查询