DBCO-SS-Maleimide 二苯并环辛炔-二硫键-马来酰亚胺 DBCO-SS-MAL的分子量
发布时间:2022-09-29  作者:zyl  分享到:
DBCO-SS-Maleimide二苯并环辛炔-二硫键-马来酰亚胺
DBCO (二苯并环辛炔) 的马来酰亚胺 (Maleimide) 衍生物,可以含有巯基的生化小分子发生共轭加成形成稳定的硫醚连接。马来酰亚胺聚乙二醇二苯并环乙炔(DBCO)是纳米聚乙二醇二苯并环乙炔衍生物之一,可以在没有任何金属催化剂的情况下进行点击化学反应。
DBCO-SS-Maleimide二苯并环辛炔-双硫键-马来酰亚胺
英文名称:DBCO-SS-Maleimide
中文名称:二苯并环辛炔-二硫键-马来酰亚胺
外观:白色固体
纯度:>95%
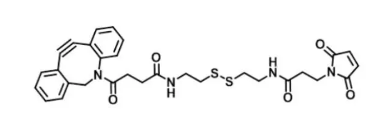
分子式:C30H30N4O5S2
分子量:590.71
存储环境:-20°C
结构式:

点击化学——二苯并环辛炔 (DBCO, Dibenzocyclooctyne) 用于无需铜离子催化的叠氮-炔环加成 (SPAAC) 反应,该反应的二级反应动力学常数可达到,DBCO系列产品包括可用于进一步连接的 DBCO-acid、DBCO-amine、DBCO-PEG-COOH、DBCO-PEG-amine,以及DBCO标记的 biotin、荧光染料和生化小分子等。
相关产品:
DBCO-Maleimide
DBCO-PEG2-Maleimide
DBCO-PEG3-Maleimide
DBCO-PEG4-Maleimide
DBCO-PEG12-Maleimide
DBCO-PEG24-Maleimide
DBCO-SS-Maleimide
DBCO-SS-Maleimide
DBCO-SS-COOH
DBCO-SS-NH2
厂家:西安齐岳生物科技有限公司
储存时间:1年
保存:冷藏
温馨提醒:仅供科研,不能用于人体实验




齐岳微信公众号
官方微信
库存查询