PS-PADMA 聚苯乙烯-聚(1-金刚烷基丙烯酸酯) 二嵌段共聚物 Poly(styrene)-b-Poly(1-adamantyl acrylate)
中文名称:聚苯乙烯-聚(1-金刚烷基丙烯酸酯)
英文简称:
英文全称:Poly(styrene)-b-Poly(1-adamantyl acrylate)
CAS号:n/a; PS: 9003-53-6
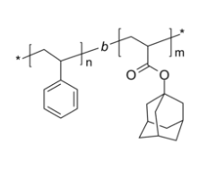
分子式:[C8H8]n[C13H18O2]m
主链结构:二嵌段共聚物
主要成分:PADMA
亲疏水性:疏水
产品类型:常规高分子
荧光/发光:无
外观/形态:固态粉末或颗粒(以实际外观为准)
纯度:≤ 100%
结构式:
用途:科研
品牌:齐岳生物
包装: 瓶装
产地:西安
供应商:西安齐岳生物科技有限公司
温馨提示:仅用于科研!
西安齐岳生物科技有限公司是国内的高分子聚合物合成厂家,我公司可以提供各种不同的聚合物的嵌段共聚物,有均聚物,嵌段共聚物,星形聚合物等,聚合物包括有PEG、PLGA、PLA、PCL、PS、PLL,PtBA,PMMA,PAA,P4VP,P2VP,PNIPAAm,PEI、以及其他基团或者多肽聚合物,种类多,可提供定制服务。也提供基于这些共聚物修饰蛋白,多肽,氨基酸,荧光修饰等定制合成。
相关产品:
聚(2-异氰酸酯-甲基丙烯酸乙酯)
聚(2-异丙烯基吡啶)
聚(2-乙烯基萘)-聚甲基丙烯酸甲酯
聚(2-乙烯基萘)-聚二甲基硅氧烷
聚(2-乙烯基萘)-聚丙烯酸正丁酯
聚(2-乙烯基萘)-聚丙烯酸叔丁酯
聚(2-乙烯基萘)-聚丙烯酸
聚(2-乙烯基蒽)
聚(2-乙烯基吡嗪)
聚(2-乙烯基吡啶)-乙烯基
聚(2-乙烯基吡啶)-五乙烯六胺
聚(2-乙烯基吡啶)-羧基
聚(2-乙烯基吡啶)-双羟基
聚(2-乙烯基吡啶)-叔丁基二甲基硅氧丙基Poly(2-vinyl
聚(2-乙烯基吡啶)-炔基(炔烃)
聚(2-乙烯基吡啶)-羟基
聚(2-乙烯基吡啶)-硫醇
聚(2-乙烯基吡啶)-聚甲基丙烯酸甲酯




齐岳微信公众号
官方微信
库存查询