PS-PFES 聚苯乙烯-聚二茂铁二甲基硅烷 二嵌段共聚物 Poly(styrene)-b-Poly(ferrocenyl dimethyl silane)
中文名称:聚苯乙烯-聚二茂铁二甲基硅烷
英文简称:PS-PFES
英文全称:Poly(styrene)-b-Poly(ferrocenyl dimethyl silane)
CAS号:n/a; PS: 9003-53-6
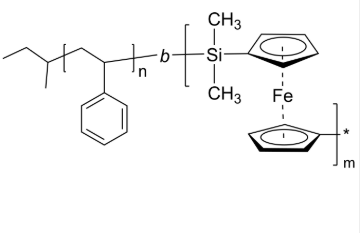
分子式:[C8H8]n[Si(CH3)2C5H5FeC5H5]m
主链结构:二嵌段共聚物
主要成分:PFES
亲疏水性:疏水
产品类型:烷基封端高分子
荧光/发光:无
外观/形态:固态粉末或颗粒(以实际外观为准)
纯度:≤ 100%
结构式:

用途:科研
品牌:齐岳生物
包装: 瓶装
产地:西安
供应商:西安齐岳生物科技有限公司
温馨提示:仅用于科研!
西安齐岳生物科技有限公司是国内的高分子聚合物合成厂家,我公司可以提供各种不同的聚合物的嵌段共聚物,有均聚物,嵌段共聚物,星形聚合物等,聚合物包括有PEG、PLGA、PLA、PCL、PS、PLL,PtBA,PMMA,PAA,P4VP,P2VP,PNIPAAm,PEI、以及其他基团或者多肽聚合物,种类多,可提供定制服务。也提供基于这些共聚物修饰蛋白,多肽,氨基酸,荧光修饰等定制合成。
相关产品:
甲氧基-聚乙二醇-烯丙基
甲氧基-聚乙二醇-羧基(乙酸)
甲氧基-聚乙二醇-羧基(戊酸)
甲氧基-聚乙二醇-羧基(通过硫键)
甲氧基-聚乙二醇-羧基(丁二酸)
甲氧基-聚乙二醇-羧基(丙酸)
甲氧基-聚乙二醇-叔丁酯
甲氧基-聚乙二醇-十一烷基硫醇
甲氧基-聚乙二醇-生物素
甲氧基-聚乙二醇-三甲氧基硅烷
甲氧基-聚乙二醇-炔基
甲氧基-聚乙二醇-醛基
甲氧基-聚乙二醇-马来酰亚胺
甲氧基-聚乙二醇-氯基
甲氧基-聚乙二醇-硫醇
甲氧基-聚乙二醇-聚丙交酯-聚组氨酸-氨基
甲氧基-聚乙二醇-聚丙二醇-聚乙二醇-溴基
甲氧基-聚乙二醇-聚丙二醇-聚乙二醇-甲基丙烯酸酯
甲氧基-聚乙二醇-聚丙二醇-聚乙二醇-苯乙烯基
甲氧基-聚乙二醇-甲基丙烯酸酯
甲氧基-聚乙二醇-甲磺酸酯
甲氧基-聚乙二醇-己内酯




齐岳微信公众号
官方微信
库存查询