BCN-PEG-NH2 环丙烷环辛炔-聚乙二醇-氨基 供应DBCO/TCO修饰氨基
发布时间:2022-09-29  作者:zyl  分享到:
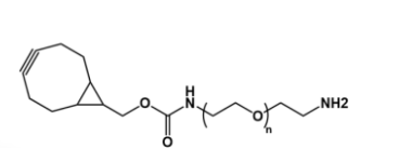
双环[6,1,0]壬炔 (BCN) (环丙烷环辛炔)可以通过无铜的点击化学与叠氮化物标记的分子或生物分子反应生成稳定的三氮唑连接。
产品名称 BCN-PEG-NH2 环丙烷环辛炔聚乙二醇氨基
中文名称 环丙烷环辛炔聚乙二醇氨基
英文名称 BCN-PEG-NH2
分子量 2000
CAS N/A
溶解度 DMSO,CHCl3,甲醇
存储条件 -20°冷冻
保存时间 一年

定制合成服务:
西安齐岳生物科技有限公司提供各种复杂的PEG衍生物定制服务,肽,各种特殊基因,各种特殊蛋白或分子,多肽修饰PEG的偶联。
1. 提供各种复杂、特殊的PEG产品定制;
2. 拥有齐全的PEG产品备库可提供几千多种产品种类;
3. 提供多种官能团修饰,性能好,纯度高,产品分子量200~40k;
4. 生产工艺简化,杂质低,品质稳定,取代率纯度大于95%;
PEG分子量可定制,1000,5000,3400,10000等等
相关产品:
叶酸聚乙二醇二苯基环辛炔 FA-PEG-DBCO
胆固醇聚乙二醇二苯基环辛炔 CLS-PEG-DBCO
磷脂聚乙二醇二苯基环辛炔 DSPE-PEG-DBCO
Tetrazine-PEG-DBCO 四嗪-聚乙二醇-二苯基环辛炔
二二苯基环辛炔聚乙二醇 DBCO-PEG-DBCO
Tetrazine-PEG-N3 四嗪聚乙二醇叠氮
DBCO-PEG-CY5
Tetrazine-PEG-DSPE 四嗪聚乙二醇磷脂
DBCO-PEG-CY7
Tetrazine-PEG-Cy5 四嗪聚乙二醇Cy5
Tetrazine-PEG-Cy7 四嗪聚乙二醇Cy7
Tetrazine-PEG-Cy3 四嗪聚乙二醇Cy3
产地:西安
用途:仅用于科研
温馨提示:仅用于科研,不能用于人体实验!




齐岳微信公众号
官方微信
库存查询