P3HT2PrA 聚([3-己基-4-丙胺]-噻吩-2,5-二基) 导电高分子 Poly([3-hexyl-4-propylamine]-thiophene-2,5-diyl)
中文名称:聚([3-己基-4-丙胺]-噻吩-2,5-二基)
英文简称:P3HT2PrA
英文全称:Poly([3-hexyl-4-propylamine]-thiophene-2,5-diyl)
CAS号:n/a
分子式:[C13H21NS]n
主链结构:直链均聚物
主要成分:P3HT
亲疏水性:疏水
产品类型:导电高分子
荧光/发光:无
外观/形态:固态粉末或颗粒(以实际外观为准)
纯度:≤ 100%
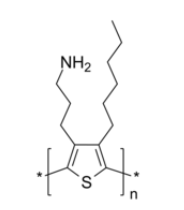
结构式:

用途:科研
品牌:齐岳生物
包装: 瓶装
产地:西安
供应商:西安齐岳生物科技有限公司
温馨提示:仅用于科研!
西安齐岳生物科技有限公司是国内的高分子聚合物合成厂家,我公司可以提供各种不同的聚合物的嵌段共聚物,有均聚物,嵌段共聚物,星形聚合物等,聚合物包括有PEG、PLGA、PLA、PCL、PS、PLL,PtBA,PMMA,PAA,P4VP,P2VP,PNIPAAm,PEI、以及其他基团或者多肽聚合物,种类多,可提供定制服务。也提供基于这些共聚物修饰蛋白,多肽,氨基酸,荧光修饰等定制合成。
相关产品:
氨基化聚苯乙烯微球/PS乳胶粒
氨基(端基保护)-聚乙二醇-聚甲基丙烯酸叔丁酯
氨基(端基保护)-聚甲基丙烯酸叔丁酯-硫醇
氨基(端基保护)-聚甲基丙烯酸甲酯-硫醇
ω-乙酸
ω-羧酸[氘化琥珀酸-d4]
ω-羧酸
ω-羟基-封端)
ω-甲氧基-封端)
ω-甲基丙烯酸酯
ω-磺酸
ω-硅醇基
ω-丁二烯封端
ω-低聚乙二醇
ω-氘氧基封端
ω-丙烯酸酯
ω-丙酸
ω-vinylbenzoyl-terminated;
ω-vinylbenzoyl-terminated
ω-trimethylsilyl-term
ω-trimethylsiloxy)-terminated
ω-trimethoxysilyl-terminated
ω-trichloromethyl-terminated
ω-thiol)
ω-thiol
![P3HT2PrA 聚([3-己基-4-丙胺]-噻吩-2,5-二基) 导电高分子 Poly([3-hexyl-4-propylamine]-thiophene-2,5-diyl)-UDP糖丨MOF丨金属有机框架丨聚集诱导发光丨推荐西安齐岳生物](/images/logo.png)



齐岳微信公众号
官方微信
库存查询