PLA-PDMS-PLA 聚乳酸-聚二甲基硅氧烷-聚乳酸 聚丙交酯-聚二甲基硅氧烷-聚丙交酯 生物降解ABA三嵌段共聚物
中文名称:聚乳酸-聚二甲基硅氧烷-聚乳酸
英文简称:PLA-PDMS-PLA
英文全称:Poly(lactide)-b-Poly(dimethyl siloxane)-b-Poly(lactide)
CAS号:n/a; Poly(L-lactide): 26161-42-2; Poly(D-lactide): 106989-11-1; PDMS: 9016-00-6/63148-62-9
分子式:[C3H4O2]n[C2H6OSi]m[C3H4O2]n
主链结构:ABA三嵌段共聚物
主要成分:PLA
亲疏水性:疏水
产品类型:生物降解高分子
荧光/发光:无
外观/形态:固态粉末或颗粒(以实际外观为准)
纯度:≤ 100%
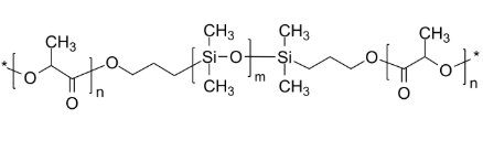
结构式:

用途:科研
品牌:齐岳生物
包装: 瓶装
产地:西安
供应商:西安齐岳生物科技有限公司
温馨提示:仅用于科研!
西安齐岳生物科技有限公司是国内的高分子聚合物合成厂家,我公司可以提供各种不同的聚合物的嵌段共聚物,有均聚物,嵌段共聚物,星形聚合物等,聚合物包括有PEG、PLGA、PLA、PCL、PS、PLL,PtBA,PMMA,PAA,P4VP,P2VP,PNIPAAm,PEI、以及其他基团或者多肽聚合物,种类多,可提供定制服务。也提供基于这些共聚物修饰蛋白,多肽,氨基酸,荧光修饰等定制合成。
相关产品:
ω-tert-butylcarboxylate)-terminated
ω-TEMPO)-端基
ω-succinimide
ω-nitrophenylformate)-terminated
ω-methylchlorosilane-terminated
ω-methoxy)-terminated
ω-methacryloyl-terminated
ω-methacrylate-terminated
ω-mesylate)-terminated
ω-imidazole-terminate
ω-hydroxy/chloro)-terminated
ω-hydroxy)-terminate
ω-hydroxy)-termi
ω-hydrogen)-terminated
ω-formyl-terminated
ω-formyl)-terminated
ω-diphenylalkyl)-terminated
ω-diphenylalkyl)-t




齐岳微信公众号
官方微信
库存查询