MAL-PEG-胆固醇
基本信息:
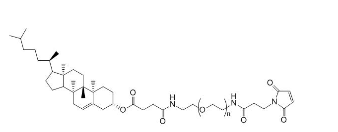
中文名称:胆固醇-聚乙二醇-马来酰亚胺 (Cholesterol-PEG-MAL)
别名:Cholesterol-PEG-Maleimide
英文名称:Cholesterol-PEG-Maleimide,Cholesterol-PEG-MAL
分子量:400、600、1K、2K、3.4K、4K、5K、10K
纯度:95%以上
应用简介
齐岳生物的胆固醇PEG马来酰亚胺(Cholesterol-PEG-MAL)可以用来修饰蛋白质、多肽以及其他材料或者小分子。马来酰亚胺(MAL)与巯基(-SH)在PH6.5-7.5很容易形成稳定的硫醚键。PEG修饰可提高溶解度和稳定性,减少蛋白质和肽的免疫原性。它也能**带电分子在修饰表面的非特异性结合。
胆固醇(CLS):可用于使脂质体,以提高封装药物的循环时间。它们也可用于非病毒转染试剂。具有水溶性和脂溶性。
物理性质:
状态:液体或者固体。
溶解性:溶于DMSO,DMF,DCM,水。
保持条件:-20℃长期保存,避光,干燥。
注意事项:取用一定要干燥,避免频繁的溶解和冻干
厂家:西安齐岳生物科技有限公司
用途:科研
状态:固体/粉末/溶液
产地:西安
储存时间:1年
保存:冷藏
储藏条件:-20℃
温馨提醒:仅供科研,不能用于人体实验
相关产品:
SH-PEG3400-NH2
PDLLA-PEG-PDLLA,41+-2度
PEG2k-b-(PMMA 80%-co-P4VP 20%)15k
PEG2k-PMMA15k
NH2-PEG3400-PDLLA5000
DMPE-PEG2000
DSPE-PEG1000-NH2
DSPE-PEG3400-Biotin
DSPE-PEG-Cy5,MW:2000
Glucose-PEG2000-NH2
Glucose-PEG2000-DBCO
PLGA20K-b-mPEG2K




齐岳微信公众号
官方微信
库存查询