PLGA-PEG-PLGA-FKR648 聚乙丙交酯-聚乙二醇-聚乙丙交酯-荧光FKR648 生物降解ABA三嵌段共聚物
中文名称:聚乙丙交酯-聚乙二醇-聚乙丙交酯-荧光FKR648
英文简称:PLGA-PEG-PLGA-FKR648
英文全称:Poly(lactide-co-glycolide)-b-Poly(ethylene glycol)-b-Poly(lactide-co-glycolide)-FKR648
CAS号:n/a; PEG: 25322-68-3; PLGA: 26780-50-7
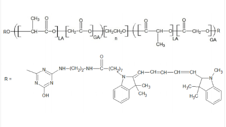
分子式:[(C3H4O2)x(C2H2O2)y]m[C2H4O]n[(C3H4O2)x(C2H2O2)y]m
主链结构:ABA三嵌段共聚物
主要成分:PLGA
亲疏水性:两亲性
产品类型:高分子
荧光/发光:FKR648
外观/形态:固态粉末或颗粒(以实际外观为准)
结构式:

用途:科研
品牌:齐岳生物
包装: 瓶装
产地:西安
供应商:西安齐岳生物科技有限公司
温馨提示:仅用于科研!
西安齐岳生物科技有限公司是国内的高分子聚合物合成厂家,我公司可以提供各种不同的聚合物的嵌段共聚物,有均聚物,嵌段共聚物,星形聚合物等,聚合物包括有PEG、PLGA、PLA、PCL、PS、PLL,PtBA,PMMA,PAA,P4VP,P2VP,PNIPAAm,PEI、以及其他基团或者多肽聚合物,种类多,可提供定制服务。也提供基于这些共聚物修饰蛋白,多肽,氨基酸,荧光修饰等定制合成。
相关产品:
ω-(pentaethylene-hexamine)-terminated
ω-(N-isopropylacrylamide)-terminated
ω-(diethyl
ω-(dicarbinol)-terminated
ω-(diamino)-terminated
ω-(cholic
ω-(carbonyl
ω-(bromo/carboxy)-terminated
ω-(4-羟基苯甲酸酯)封端
ω-(4-甲氧基苯甲酸酯)封端
ω-(10-pyrenyl)-terminated
ε-caprolactone)-b-poly(methyloxazoline)
γ-环糊精
γ-Cyclodextrin
α-羧酸
α-羟基封端
α-羟基
α-甲氧基异丙基,
α-甲氧基乙基,
α-甲氧基封端




齐岳微信公众号
        
官方微信
        
库存查询