PDLA 聚D-乳酸 生物降解高分子 Poly(D-lactide) | Poly((D) Lactic acid)
中文名称:聚D-乳酸
英文简称:PDLA
英文全称:Poly(D-lactide)
英文别名:Poly((D) Lactic acid)
CAS号:Poly(D-lactide): 106989-11-1
分子式:(C3H4O2)n
主链结构:直链均聚物
主要成分:PLA
亲疏水性:疏水
产品类型:生物降解高分子
荧光/发光:无
外观/形态:固态粉末或颗粒(以实际外观为准)
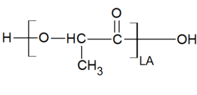
结构式:

用途:科研
品牌:齐岳生物
包装: 瓶装
产地:西安
供应商:西安齐岳生物科技有限公司
温馨提示:仅用于科研!
西安齐岳生物科技有限公司是国内的高分子聚合物合成厂家,我公司可以提供各种不同的聚合物的嵌段共聚物,有均聚物,嵌段共聚物,星形聚合物等,聚合物包括有PEG、PLGA、PLA、PCL、PS、PLL,PtBA,PMMA,PAA,P4VP,P2VP,PNIPAAm,PEI、以及其他基团或者多肽聚合物,种类多,可提供定制服务。也提供基于这些共聚物修饰蛋白,多肽,氨基酸,荧光修饰等定制合成。
相关产品:
styrene-d8)-b-poly(tert-butyl
styrene-d8)-b-poly(iso-octyl
styrene-d8)-b-poly(ethylene
styrene-d8)-b-poly(dimethyl
styrene-d8)-b-poly(4-vinyl
styrene-d8)-b-poly(2-vinyl
styrene-d8)-b-poly(2-ethylhexyl
styrene-d8)-b-poly(1,4-isoprene)
styrene-d8)-b-poly(1,4-butadiene)
styrene)-b-Poly(tert-butyl
styrene)-b-poly(acrylamide)
styrene
Stearic
SS-PEG-SS




齐岳微信公众号
官方微信
库存查询