PEO-PHEMATMS | PEG-PHEMATMS 聚乙二醇-聚(三甲基硅氧基-2-乙基甲基丙烯酸酯) 两亲性二嵌段共聚物
中文名称:聚环氧乙烷-聚(三甲基硅氧基-2-乙基甲基丙烯酸酯)
英文简称:PEO-PHEMATMS | PEG-PHEMATMS
英文全称:Poly(ethylene oxide)-b-poly(trimethylsiloxy-2-ethyl methacrylate)
CAS号:n/a; PEO: 25322-68-3; PHEMA: 25249-16-5
分子式:CH3O(C2H4O)n(C9H18SiO3)m
主链结构:二嵌段共聚物
主要成分:PHEMA
亲疏水性:两亲性
产品类型:烷基封端高分子
荧光/发光:无
外观/形态:固态粉末或颗粒(以实际外观为准)
纯度:≤ 100%
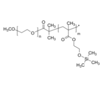
结构式:

用途:科研
品牌:齐岳生物
包装: 瓶装
产地:西安
供应商:西安齐岳生物科技有限公司
温馨提示:仅用于科研!
西安齐岳生物科技有限公司是国内的高分子聚合物合成厂家,我公司可以提供各种不同的聚合物的嵌段共聚物,有均聚物,嵌段共聚物,星形聚合物等,聚合物包括有PEG、PLGA、PLA、PCL、PS、PLL,PtBA,PMMA,PAA,P4VP,P2VP,PNIPAAm,PEI、以及其他基团或者多肽聚合物,种类多,可提供定制服务。也提供基于这些共聚物修饰蛋白,多肽,氨基酸,荧光修饰等定制合成。
相关产品:
PS-PEO-PDMS
PS-PEO-PDMAEMA
PS-PEO-PAA
PS-PEO-P4VP
PS-PEO-P4OHS
PS-PEO-P4MeOS
PS-PEO-P2VP
PS-PEO-NH2
PS-PEO-N3
PS-PEO-Maleimido
PS-PEO-ID
PS-PEO-COOH
PS-PEO-cleavable
PS-PEO-BzBr




齐岳微信公众号
官方微信
库存查询