透明质酸-荧光素 HA-FITC | Hyaluronate Fluorescein (FITC labeled Hyaluronic Acid)
发布时间:2022-10-11     作者:LYQ   分享到:
透明质酸-荧光素 HA-FITC | Hyaluronate Fluorescein (FITC labeled Hyaluronic Acid)
中文名称:透明质酸-荧光素
英文简称:HA-FITC
英文全称:Hyaluronate Fluorescein
CAS号:HA: 9004-61-9
主链结构:交替共聚物
主要成分:HA
亲疏水性:亲水
产品类型:高分子
荧光/发光:FITC
外观/形态:固态粉末或颗粒(以实际外观为准)
纯度:> 95%
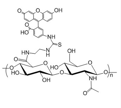
结构式:

用途:科研
品牌:齐岳生物
包装: 瓶装
产地:西安
供应商:西安齐岳生物科技有限公司
温馨提示:仅用于科研!
西安齐岳生物科技有限公司是国内的高分子聚合物合成厂家,我公司可以提供各种不同的聚合物的嵌段共聚物,有均聚物,嵌段共聚物,星形聚合物等,聚合物包括有PEG、PLGA、PLA、PCL、PS、PLL,PtBA,PMMA,PAA,P4VP,P2VP,PNIPAAm,PEI、以及其他基团或者多肽聚合物,种类多,可提供定制服务。也提供基于这些共聚物修饰蛋白,多肽,氨基酸,荧光修饰等定制合成。
相关产品:
PPO-2NH2/PPO(NH2)2
PPMS
PPho-PBd-PPho
PPhMAMAAran
PPEMAM
PPC-PS-PPC
PPC
PoTFMPA
POSS笼型聚倍半硅氧烷-八环氧基
POSSisoPBuMA
POMA
POM
Polyvalerolactone
PolyTPD-FA
PolyTPD




齐岳微信公众号
官方微信
库存查询