PEO-PnBuMA 聚环氧乙烷-聚甲基丙烯酸正丁酯 UV紫外光裂解 两亲性二嵌段共聚物
中文名称:聚环氧乙烷-聚甲基丙烯酸正丁酯
英文简称:PEO-PnBuMA-cleavable
英文全称:Poly(ethylene oxide)-b-poly(n-butyl methacrylate), UV-cleavable
英文别名:PEG-PnBuMA-cleavable
CAS号:n/a; PEO: 25322-68-3; PnBuMA: 9003-63-8; mPEG: 9004-74-4
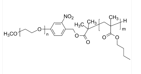
分子式:[C2H4O]n [C8H14O2]m
主链结构:二嵌段共聚物
主要成分:PnBuMA
亲疏水性:两亲性
产品类型:UV光裂解嵌段共聚物
荧光/发光:无
外观/形态:固态粉末或颗粒(以实际外观为准)
纯度:≤ 100%
结构式:

用途:科研
品牌:齐岳生物
包装: 瓶装
产地:西安
供应商:西安齐岳生物科技有限公司
温馨提示:仅用于科研!
西安齐岳生物科技有限公司是国内的高分子聚合物合成厂家,我公司可以提供各种不同的聚合物的嵌段共聚物,有均聚物,嵌段共聚物,星形聚合物等,聚合物包括有PEG、PLGA、PLA、PCL、PS、PLL,PtBA,PMMA,PAA,P4VP,P2VP,PNIPAAm,PEI、以及其他基团或者多肽聚合物,种类多,可提供定制服务。也提供基于这些共聚物修饰蛋白,多肽,氨基酸,荧光修饰等定制合成。
相关产品:
Poly(N-ethylaniline)
Poly(Nepsilon-carbobenzoxy-L-lysine),
Poly(n-decyl
Poly(n-butyl-d9
Poly(N,N-diethyl
Poly(N,N,-dimethyl
Poly(methylene),
Poly(methoxyethyl




齐岳微信公众号
        
官方微信
        
库存查询