肝素-荧光素 Heparin-FITC | Heparin Fluorescein (FITC fluorescent dye labeled Heparin)
发布时间:2022-10-14  作者:LYQ  分享到:
肝素-荧光素 Heparin-FITC | Heparin Fluorescein (FITC fluorescent dye labeled Heparin)
中文名称:肝素-荧光素
英文简称:Heparin-FITC
英文全称:Heparin Fluorescein
CAS号:n/a; Heparin: 9005-49-6
主链结构:交替共聚物
主要成分:Heparin
亲疏水性:亲水
产品类型:高分子
荧光/发光:FITC
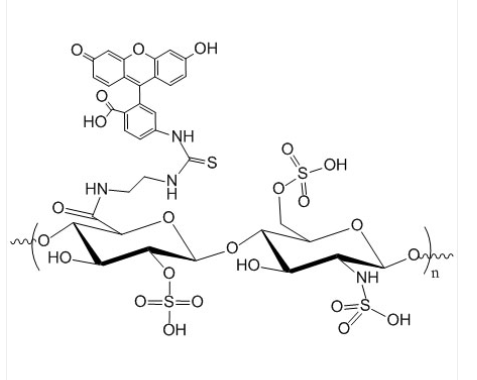
结构式:

用途:科研
品牌:齐岳生物
包装: 瓶装
产地:西安
供应商:西安齐岳生物科技有限公司
温馨提示:仅用于科研,不能用于人体实验!
西安齐岳生物科技有限公司是国内的高分子聚合物合成厂家,可提供PLGA,PCL,PAMAM,PAA等聚合物的定制合成,提供基本活性基团修饰,以及其他基团或者多肽聚合物,种类多,可提供定制服务。也提供基于这些共聚物修饰蛋白,多肽,氨基酸,荧光修饰等定制合成。
相关产品:
Poly(aniline)-b-poly(ethylene
Poly(adipic
Poly(acryloxypropyl
Poly(acrylonitrile)-b-poly(n-butyl
Poly(acrylonitrile)
Poly(acrylamide-d3)
Poly(acrylamide-co-N,N-dimethyl
Poly(acrylamide-co-acrylic




齐岳微信公众号
官方微信
库存查询