PMMA-PIBEMA-g-PS 聚甲基丙烯酸甲酯-聚甲基丙烯酸异丁基乙酯-接枝聚苯乙烯 二嵌段共聚物接枝高分子
中文名称:聚甲基丙烯酸甲酯-聚甲基丙烯酸异丁基乙酯-接枝聚苯乙烯
英文简称:PMMA-PIBEMA-g-PS
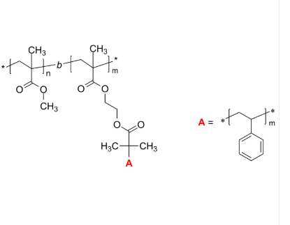
英文全称:Poly(methyl methacrylate)-b-[poly(isobutyryl ethyl methacrylate)-graft-poly(styrene)]
英文别名:Poly(methyl methacrylate–block–[isobutyryl ethylmethacrylate–graft–polystyrene])
CAS号:n/a; PS: 9003-53-6; PMMA: 25188-98-1/9011-14-7
分子式:[C5H8O2]n [C10H15O4(C8H8)p]m
主链结构:接枝共聚物
主要成分:PMMA
亲疏水性:疏水
产品类型:常规高分子
荧光/发光:无
外观/形态:固态粉末或颗粒(以实际外观为准)
纯度:≤ 100%
结构式:

用途:科研
品牌:齐岳生物
包装: 瓶装
产地:西安
供应商:西安齐岳生物科技有限公司
温馨提示:仅用于科研,不能用于人体实验!
西安齐岳生物科技有限公司是国内的高分子聚合物合成厂家,可提供PLGA,PCL,PAMAM,PAA等聚合物的定制合成,提供基本活性基团修饰,以及其他基团或者多肽聚合物,种类多,可提供定制服务。也提供基于这些共聚物修饰蛋白,多肽,氨基酸,荧光修饰等定制合成。
相关产品:
PnBuA-PHEMA
PnBuA-PDMSDPS
PnBuA-PDHF-PnBuA
PnBuA-PAA
PnBuA-OH
PnBuA-NH2
PnBuA
PMVE
PMS-2TMS
PMOXZ-PE-PMOXZ




齐岳微信公众号
官方微信
库存查询