H-type PEO/PEG 4臂H形-聚乙二醇 H-type copolymer: Poly(ethylene oxide), 4 arms / Core: poly(butadiene)
发布时间:2022-10-26  作者:LYQ  分享到:
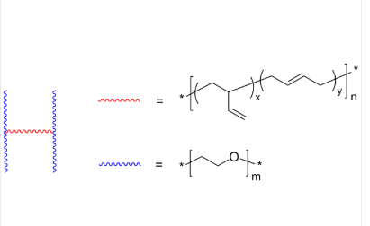
H-type PEO/PEG 4臂H形-聚乙二醇 H-type copolymer: Poly(ethylene oxide), 4 arms / Core: poly(butadiene)
中文名称:4臂H形-聚乙二醇
英文简称:H-type PEO/PEG
英文全称:H-type copolymer: Poly(ethylene oxide), 4 arms / Core: poly(butadiene)
英文别名:Poly(di[ethylene oxide]-butadiene-di[ethylene oxide])
CAS号:n/a; PEO: 25322-68-3; PBd: 9003-17-2
分子式:[C2H4O]n[C4H6]m
主链结构:4臂H型
主要成分:PEO/PEG
亲疏水性:两亲性
产品类型:常规高分子
荧光/发光:无
外观/形态:固态粉末或颗粒(以实际外观为准)
纯度:≤ 100%
结构式:

用途:科研
品牌:齐岳生物
包装: 瓶装
产地:西安
供应商:西安齐岳生物科技有限公司
温馨提示:仅用于科研,不能用于人体实验!
西安齐岳生物科技有限公司是国内的高分子聚合物合成厂家,可提供PLGA,PCL,PAMAM,PAA等聚合物的定制合成,提供基本活性基团修饰,以及其他基团或者多肽聚合物,种类多,可提供定制服务。也提供基于这些共聚物修饰蛋白,多肽,氨基酸,荧光修饰等定制合成。
相关产品:
PMMA-PBd-PMMA
PMMA-PAzoMA
PMMA-PANa
PMMA-PACN
PMMA-PAAnh
PMMA-PAA
PMMA-P4CNBPHMA
PMMA-P4CNBP11CMA
PMMA-P(POSSMA)




齐岳微信公众号
官方微信
库存查询