PDMAEMAQtBuAc 聚甲基丙烯酸二甲氨基乙酯-溴乙酸叔丁酯季铵化 两性离子聚合物
中文名称:聚甲基丙烯酸二甲氨基乙酯-溴乙酸叔丁酯季铵化
英文简称:PDMAEMAQtBuAc
英文全称:Poly(N,N-dimethylaminoethyl methacrylate, quaternized with tert-butyl bromoacetate)
英文别名:Poly(2-[tert-butoxy]-N-[2-methacryloyloxy]ethyl-N,N-dimethyl-2-oxoethanaminium)
CAS号:n/a; PDMA: 26793-34-0; PEMA: 9003-42-3
主链结构:直链均聚物
主要成分:PDMAEMA
亲疏水性:亲水
产品类型:两性离子聚合物
荧光/发光:无
外观/形态:固态粉末或颗粒(以实际外观为准)
纯度:≤ 100%
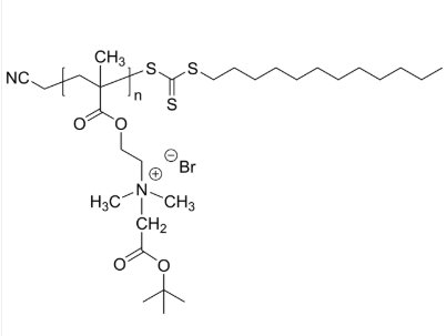
结构式:

包装: 瓶装
用途:用于医学研究,药物释放,纳米技术和新材料研究。
品牌:齐岳生物
产地:西安
供应商:西安齐岳生物科技有限公司
温馨提示:仅用于科研实验,不能用于人体!
西安齐岳生物科技有限公司是国内的高分子聚合物合成厂家,我公司可以提供各种不同的聚合物的嵌段共聚物,有均聚物,嵌段共聚物,星形聚合物等,聚合物包括有PEG、PLGA、PLA、PCL、PS、PLL,PtBA,PMMA,PAA,P4VP,P2VP,PNIPAAm,聚赖氨酸、聚谷氨酸、聚天冬氨酸、PEI、以及其他基团或者多肽聚合物,种类多,可提供定制服务。
相关产品:
PLKS
PLKF
PLKC-g-PDP
PLKC-b-PEG-b-PLKC
PLKC
PLKB-g-AZ
PLKB-g-AK
PLimO-OH
PLimO-2OH
PLimC
PLHR
PL-HIS
PLGA-Rhod
PLGA-PEG-PLGA-FKR648




齐岳微信公众号
官方微信
库存查询