马来酰亚胺-聚乙二醇-琥珀酰亚胺NHS酯 MAL-PEG-SCM (Maleimide PEG Succinimidyl NHS acid ester)
发布时间:2022-10-28  作者:LYQ  分享到:
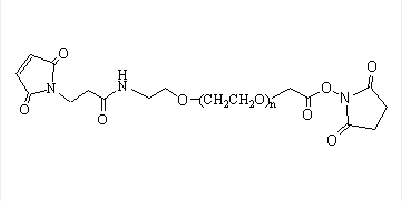
马来酰亚胺-聚乙二醇-琥珀酰亚胺NHS酯 MAL-PEG-SCM (Maleimide PEG Succinimidyl NHS acid ester)
中文名称:马来酰亚胺-聚乙二醇-琥珀酰亚胺NHS酯
英文简称:MAL-PEG-SCM
英文全称:MAL-PEG-SCM (Maleimide PEG Succinimidyl NHS acid ester)
CAS号:n/a; PEG: 25322-68-3
主链结构:直链均聚物
主要成分:PEO/PEG
亲疏水性:亲水
产品类型:端基功能化修饰高分子
荧光/发光:无
外观/形态:固态粉末或颗粒(以实际外观为准)
结构式:

包装: 瓶装
用途:用于医学研究,药物释放,纳米技术和新材料研究。
品牌:齐岳生物
产地:西安
供应商:西安齐岳生物科技有限公司
温馨提示:仅用于科研实验,不能用于人体!
西安齐岳生物科技有限公司是国内的高分子聚合物合成厂家,我公司可以提供各种不同的聚合物的嵌段共聚物,有均聚物,嵌段共聚物,星形聚合物等,聚合物包括有PEG、PLGA、PLA、PCL、PS、PLL,PtBA,PMMA,PAA,P4VP,P2VP,PNIPAAm,聚赖氨酸、聚谷氨酸、聚天冬氨酸、PEI、以及其他基团或者多肽聚合物,种类多,可提供定制服务。
相关产品:
PG1190-PEG
PFPE-PEG-PFPE
PFPE-PEG
PFPE-COOH/PFPE-CA
PFO-co-MEH-PPV
PFO
PFN-I
PFN-FP-I
PFN-FP
PFN-Br
PFN
PFMA




齐岳微信公众号
官方微信
库存查询