PS-PEO-PAA | PS-PEG-PAA 聚苯乙烯-聚环氧乙烷-聚丙烯酸 ABC三嵌段共聚物
发布时间:2022-11-01  作者:LYQ  分享到:
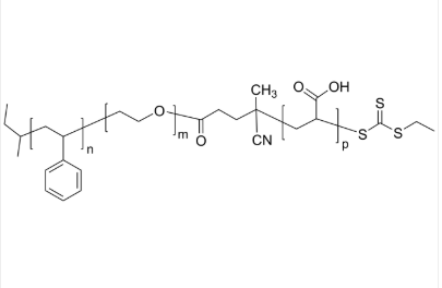
PS-PEO-PAA | PS-PEG-PAA 聚苯乙烯-聚环氧乙烷-聚丙烯酸 ABC三嵌段共聚物
中文名称:聚苯乙烯-聚环氧乙烷-聚丙烯酸
英文简称:PS-PEO-PAA
英文全称:Poly(styrene)-b-poly(ethylene oxide)-b-poly(acrylic acid)
CAS号:n/a; PS: 9003-53-6; PEG: 25322-68-3; PAA: 9003-01-4
分子式:[C8H8]n [C2H4O]m [C3H4O2]p S3C3H5
主链结构:ABC三嵌段共聚物
主要成分:PAA
亲疏水性:两亲性
产品类型:烷基封端高分子
荧光/发光:无
外观/形态:固态粉末或颗粒(以实际外观为准)
纯度:≤ 100%
结构式:

用途:科研
品牌:齐岳生物
包装: 瓶装
产地:西安
供应商:西安齐岳生物科技有限公司
温馨提示:仅用于科研,不能用于人体实验!
西安齐岳生物科技有限公司提供PLGA,PCL,PAMAM,PAA等聚合物的定制合成,提供基本活性基团修饰,等等。
相关产品:
PEG-Thiol
PEG-SO3H
PEG-SCM
PEG-SAS
PEG-SA
PEGs)
PEGs
PEG-PTHFMMA
PEG-PtBuVBZA
PEG-PtBuMA
PEG-PtBuA
PEG-PS-SH
PEG-PPG
PEG-PNVP




齐岳微信公众号
官方微信
库存查询