PS-PIP-P2VP 聚苯乙烯-聚(1,4-异戊二烯)-聚(2-乙烯基吡啶) ABC三嵌段共聚物
发布时间:2022-11-02  作者:LYQ  分享到:
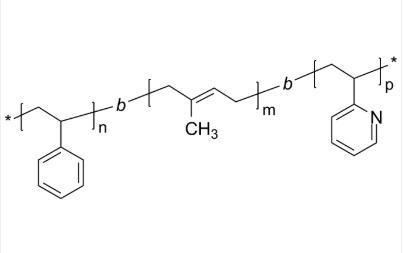
PS-PIP-P2VP 聚苯乙烯-聚(1,4-异戊二烯)-聚(2-乙烯基吡啶) ABC三嵌段共聚物
中文名称:聚苯乙烯-聚(1,4-异戊二烯)-聚(2-乙烯基吡啶)
英文简称:PS-PIP-P2VP
英文全称:Poly(styrene)-b-poly(1,4-isoprene)-b-poly(2-vinyl pyridine)
CAS号:n/a; PS: 9003-53-6; PIP: 9003-31-0; P2VP: 25014-15-7
分子式:(C8H8)n (C5H8)m (C7H7N)p
主链结构:ABC三嵌段共聚物
主要成分:P2VP
亲疏水性:两亲性
产品类型:常规高分子
荧光/发光:无
外观/形态:固态粉末或颗粒(以实际外观为准)
纯度:≤ 100%
结构式:

用途:科研
品牌:齐岳生物
包装: 瓶装
产地:西安
供应商:西安齐岳生物科技有限公司
温馨提示:仅用于科研,不能用于人体实验!
西安齐岳生物科技有限公司提供PLGA,PCL,PAMAM,PAA等聚合物的定制合成,提供基本活性基团修饰,等等。
相关产品:
PEG-PBd-PEG
PEG-PAzoMA
PEG-PANa
PEG-PAMPSNa
PEG-PAMPS
PEG-PAM
PEG-PAAnh
PEG-PAA
PEG-P4VP-SH
PEG-P4VP
PEG-P4CNBPPMA
PEG-P4CNBPHMA
PEG-P4CNBPEMA




齐岳微信公众号
官方微信
库存查询