PS-P2VP-PMMA 聚苯乙烯-聚(2-乙烯基吡啶)-聚甲基丙烯酸甲酯 ABC三嵌段共聚物 with 4-ethynylphenyl
发布时间:2022-11-02     作者:LYQ   分享到:
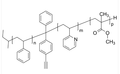
PS-P2VP-PMMA 聚苯乙烯-聚(2-乙烯基吡啶)-聚甲基丙烯酸甲酯 ABC三嵌段共聚物 with 4-ethynylphenyl
中文名称:聚苯乙烯-聚(2-乙烯基吡啶)-聚甲基丙烯酸甲酯
英文简称:PS-P2VP-PMMA
英文全称:Poly(styrene)-b-poly(2-vinyl pyridine)-b-poly(methyl methacrylate), with 4-ethynylphenyl between PS-P2VP
CAS号:n/a; PS: 9003-53-6; P2VP: 25014-15-7; PMMA: 9011-14-7
分子式:[C8H8]n [C7H7N]m [C5H8O2]p
主链结构:ABC三嵌段共聚物
主要成分:P2VP
亲疏水性:两亲性
产品类型:烷基封端高分子
荧光/发光:无
外观/形态:固态粉末或颗粒(以实际外观为准)
纯度:≤ 100%
结构式:

用途:科研
品牌:齐岳生物
包装: 瓶装
产地:西安
供应商:西安齐岳生物科技有限公司
温馨提示:仅用于科研,不能用于人体实验!
西安齐岳生物科技有限公司提供PLGA,PCL,PAMAM,PAA等聚合物的定制合成,提供基本活性基团修饰,等等。
相关产品:
PEG-GAS
PEG-GA
PEG-epoxy
PEG-DSPE
PEG-dithiol
PEG-co-PCL
PEG-b-LPEI
PEG-Benzyl
PEG-allyl
PEG-Acid
PEG-2SS
PEG-2SO3H




齐岳微信公众号
官方微信
库存查询