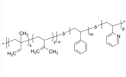
PIP(1,2-co-3,4)-PS-P2VP 聚(1,2-co-3,4-异戊二烯)-聚苯乙烯-聚(2-乙烯基吡啶) ABC三嵌段共聚物
发布时间:2022-11-02     作者:LYQ   分享到:
PIP(1,2-co-3,4)-PS-P2VP 聚(1,2-co-3,4-异戊二烯)-聚苯乙烯-聚(2-乙烯基吡啶) ABC三嵌段共聚物
中文名称:聚(1,2-co-3,4-异戊二烯)-聚苯乙烯-聚(2-乙烯基吡啶)
英文简称:PIP(1,2-co-3,4)-PS-P2VP
英文全称:Poly(1,2-isoprene-co-3,4-isoprene)-b-poly(styrene)-b-poly(2-vinyl pyridine)
CAS号:n/a; PS-PIP: 25038-32-8; PIP: 9003-31-0; PS: 9003-53-6; P2VP: 25014-15-7
分子式:(C5H8)n (C8H8)m (C7H7N)p
主链结构:ABC三嵌段共聚物
主要成分:PIP
亲疏水性:两亲性
产品类型:常规高分子
荧光/发光:无
外观/形态:固态粉末或颗粒(以实际外观为准)
纯度:≤ 100%
结构式:

用途:科研
品牌:齐岳生物
包装: 瓶装
产地:西安
供应商:西安齐岳生物科技有限公司
温馨提示:仅用于科研,不能用于人体实验!
西安齐岳生物科技有限公司提供PLGA,PCL,PAMAM,PAA等聚合物的定制合成,提供基本活性基团修饰,等等。
相关产品:
PEG-2SiOH
PEG-2SH-disulfide
PEG-2SH
PEG-2SG
PEG-2OCH3
PEG-2NPC
PEG-2NH2
PEG-2mesylate
PEG-2LA
PEG-2Epoxy
PEG-2COOH/PEG-2SA
PEG-2COOH/PEG-2GA
PEG-2Br
PEG-2Biotin




齐岳微信公众号
官方微信
库存查询