PVA-PMMA 聚乙烯醇-聚甲基丙烯酸甲酯 两亲性二嵌段共聚物 Poly(vinyl alcohol)-b-poly(methyl methacrylate)
发布时间:2022-11-08     作者:LYQ   分享到:
PVA-PMMA 聚乙烯醇-聚甲基丙烯酸甲酯 两亲性二嵌段共聚物 Poly(vinyl alcohol)-b-poly(methyl methacrylate)
中文名称:聚乙烯醇-聚甲基丙烯酸甲酯
英文简称:PVA-PMMA
英文全称:Poly(vinyl alcohol)-b-poly(methyl methacrylate)
CAS号:n/a; PVA: 9002-89-5; PMMA: 9011-14-7
分子式:[C2H4O]n [C5H8O2]m
主链结构:二嵌段共聚物
主要成分:PVA
亲疏水性:两亲性
产品类型:端基功能化修饰高分子
荧光/发光:无
外观/形态:固态粉末或颗粒(以实际外观为准)
纯度:≤ 100%
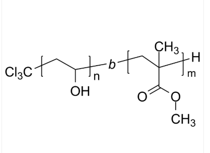
结构式:

包装: 瓶装
用途:用于医学研究,药物释放,纳米技术和新材料研究。
品牌:齐岳生物
产地:西安
供应商:西安齐岳生物科技有限公司
温馨提示:仅用于科研实验,不能用于人体!
西安齐岳生物科技有限公司提供PLGA,PCL,PAMAM,PAA等聚合物的定制合成,提供基本活性基团修饰,等等。
相关产品:
PAA-PHEMA
PAA-PAMD
PAA-PAM
PAA-OH
PAANVAran
PAA-NH2
PAAnh
PAAmANDEAEMAran
PAA-g-PEO/PAA-g-PEG
PAA-g-PEG/PAA-g-PEO
PAAd4AA
PAAd3MAran




齐岳微信公众号
官方微信
库存查询