PtBuA-PMMA 聚丙烯酸叔丁酯-聚甲基丙烯酸甲酯 二嵌段共聚物 Poly(tet-butyl acrylate)-b-poly(methyl methacrylate)
中文名称:聚丙烯酸叔丁酯-聚甲基丙烯酸甲酯
英文简称:PtBuA-PMMA
英文全称:Poly(tet-butyl acrylate)-b-poly(methyl methacrylate)
英文别名:Poly(methyl methacrylate-block-tert-butyl acrylate); Poly(methyl methacrylate)-b-poly(tert-butyl acrylate).
CAS号:n/a; PtBuA: 25232-27-3; PMMA: 9011-14-7
分子式:[C5H8O2]n[C7H12O2]m
主链结构:二嵌段共聚物
主要成分:PtBuA
亲疏水性:疏水
产品类型:常规高分子
荧光/发光:无
外观/形态:固态粉末或颗粒(以实际外观为准)
纯度:≤ 100%
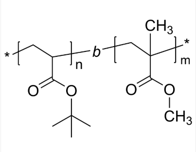
结构式:

包装: 瓶装
用途:用于医学研究,药物释放,纳米技术和新材料研究。
品牌:齐岳生物
产地:西安
供应商:西安齐岳生物科技有限公司
温馨提示:仅用于科研实验,不能用于人体!
西安齐岳生物科技有限公司提供PLGA,PCL,PAMAM,PAA等聚合物的定制合成,提供基本活性基团修饰,等等。
相关产品:
P2VP-PnBuA-P2VP
P2VP-PMMA
P2VP-PMAA
P2VP-PEO
P2VP-PEHA
P2VP-PEG
P2VP-PDMS
P2VP-PCL
P2VP-PBd-P2VP
P2VP-PACN
P2VP-PAAnh
P2VP-OH
P2VP-NH2-COOH
P2VP-NH2
P2VP-COOH
P2VP-An
P2VP-allyl




齐岳微信公众号
官方微信
库存查询