中文名称:二棕榈酰磷脂酰乙醇胺-聚乙二醇-活性酯
英文名称:DPPE-PEG3400-NHS
英文别名:DPPE-PEG3400-琥珀酰亚胺酯;DPPE-PEG-NHS;DPPE-PEG-NHS MW:3400
产品规格:500mg/1g/5g/10g
分子量(PEG):常规分子量或根据客户需求定制
DPPE基本信息:
中文名称:1,2-双(二苯基膦)乙烷; 1,2-双(联苯代膦基)-乙烷
英文名称 :1,2-Bis(diphenylphosphino)ethane
分子式 C26H24P2
分子量 398.42
结构式:

相关描述:
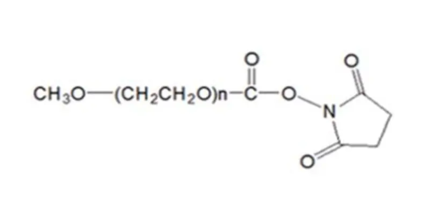
MPEG-NHS是单官能团PEG衍生物的一种,活性酯(NHS)PH7-8.5与伯胺基团反应形成稳定的酰胺键。PEG化的活性酯具有很好的水溶性,可以用来修饰带氨基的多肽,蛋白以及其他小分子。
活性酯PEG(MPEG-NHS)是能与氨基(-NH2)反应的PEG衍生物,可以用来修饰蛋白质,多肽和其他任何带有氨基基团的材料或者小分子。NHS在PH7-8.5与伯胺基团反应形成稳定的酰胺键。
级别:科研
产地:西安
供应商:西安齐岳生物科技有限公司
西安齐岳生物科技有限公司定制供应合成磷脂、PEG磷脂、两亲嵌段共聚物,磁性纳米颗粒,纳米金,荧光量子点及树枝状聚合物、PEG衍生物等等产品.可供常规磷脂单体、PEG磷脂,改性磷脂,磷脂、聚合物磷脂、磷脂偶连无机纳米材料及微球类材料、单分散小分子PEG磷脂偶连产品,还可根据客户需要定制合成复杂及特殊的聚合物磷脂产品。
温馨提示:仅用于科研实验!
其他产品:
Vitamin D-PEG-NH2
VD-PEG-NHS
VD-PEG-Mal
TPP-PEG-PLA(5K)
TPP-PEG-PLA(5K)
Tos-PEG3-O-C1-CH3COO CAS No.: 855120-17-1
Tocopherol-PEG-SC
Tocopherol-PEG-Mal
THP-PEG4-OH CAS No.: 128660-97-9
THP-PEG3-OH CAS No.: 60221-37-6
Thalidomide-O-PEG5-Tosyl CAS No.: 2414905-34-1
Thalidomide-O-PEG5-NH2.HCl CAS No.: 2341841-01-6
Thalidomide-O-PEG4-t-butyl ester CAS No.: 2411681-87-1
Thalidomide-O-PEG4-SPA CAS No.: 2411681-88-2
Thalidomide-O-PEG4-Propargyl CAS No.: 2098799-77-8
Thalidomide-O-PEG4-NH2 CAS No.: 2401832-00-4




 齐岳微信公众号
齐岳微信公众号
         官方微信
官方微信
         库存查询
库存查询