中文名称:聚(1-金刚烷基甲基丙烯酸酯)-聚丙交酯(聚乳酸)
英文简称:PADMMA-PLA
英文全称:Poly(1-adamantyl methacrylate)-b-poly(D,L-lactide)
英文别名:Poly(1-adamantyl methacrylate-block-lactide)
CAS号:n/a; Poly(L-lactide): 26161-42-2; Poly(D-lactide): 106989-11-1
分子式:[C14H20O2]n[C3H4O2]m
主链结构:二嵌段共聚物
主要成分:PADMMA
亲疏水性:疏水
产品类型:生物降解高分子
荧光/发光:无
外观/形态:固态粉末或颗粒(以实际外观为准)
纯度:≤ 100%
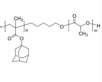
结构式:

包装: 瓶装
用途:用于医学研究,药物释放,纳米技术和新材料研究。
品牌:齐岳生物
产地:西安
供应商:西安齐岳生物科技有限公司
温馨提示:仅用于科研实验,不能用于人体!
西安齐岳生物科技有限公司是国内的高分子聚合物合成厂家,我公司可以提供各种不同的聚合物的嵌段共聚物,有均聚物,嵌段共聚物,星形聚合物等,聚合物包括有PEG、PLGA、PLA、PCL、PS、PLL,PtBA,PMMA,PAA,P4VP,P2VP,PNIPAAm,聚赖氨酸、聚谷氨酸、聚天冬氨酸、PEI、以及其他基团或者多肽聚合物,种类多,可提供定制服务。
相关产品:
oxide)-b-poly(n-butyl
oxide)-b-poly(glycolide)
oxide)-b-poly(dimethylsiloxane)
oxide)-b-poly(butylene
oxide)-b-poly(aniline)
oxide)-b-poly(acrylonitrile),
oxide)-b-poly(acrylamide)
oxide)-b-poly(2-methyl
oxide)-b-poly(2-ethyl
oxazoline),
OPSS-PEG-NHS
OPSS-PEG-COOH
O-methacrylate),




齐岳微信公众号
官方微信
库存查询