PBd-PDMS 聚(1,4-丁二烯)-聚二甲基硅氧烷 二嵌段共聚物 Poly(1,4-butadiene)-b-poly(dimethylsiloxane)
发布时间:2022-11-10     作者:LYQ   分享到:
中文名称:聚(1,4-丁二烯)-聚二甲基硅氧烷
英文简称:PBd-PDMS
英文全称:Poly(1,4-butadiene)-b-poly(dimethylsiloxane)
英文别名:Poly(butadiene-block-dimethylsiloxane)
CAS号:n/a; PBd: 9003-17-2; PDMS: 9016-00-6/63148-62-9
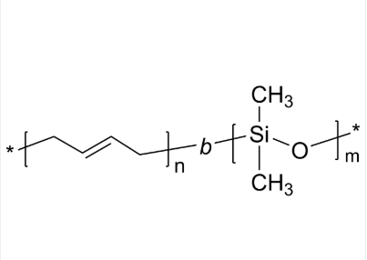
分子式:[C4H6]n [Si(CH3)2O]m
主链结构:二嵌段共聚物
主要成分:PDMS
亲疏水性:疏水
产品类型:常规高分子
荧光/发光:无
外观/形态:固态粉末或颗粒(以实际外观为准)
纯度:≤ 100%
结构式:

包装: 瓶装
用途:用于医学研究,药物释放,纳米技术和新材料研究。
品牌:齐岳生物
产地:西安
供应商:西安齐岳生物科技有限公司
温馨提示:仅用于科研实验,不能用于人体!
西安齐岳生物科技有限公司是国内的高分子聚合物合成厂家,我公司可以提供各种不同的聚合物的嵌段共聚物,有均聚物,嵌段共聚物,星形聚合物等,聚合物包括有PEG、PLGA、PLA、PCL、PS、PLL,PtBA,PMMA,PAA,P4VP,P2VP,PNIPAAm,聚赖氨酸、聚谷氨酸、聚天冬氨酸、PEI、以及其他基团或者多肽聚合物,种类多,可提供定制服务。
相关产品:
mPEG-PDLLA
mPEG-PCL
mPEG-P(DL)LA-FKR648
mPEG-P(5BZTMC)
mPEG-O-C18
mPEG-O-C16
mPEG-O-C12
mPEG-NPC
mPEG-NH2
mPEG-N3
mPEG-mesylate
mPEG-maleimido




齐岳微信公众号
官方微信
库存查询