液态有机氢载体(LOHC)来运输氢取决于**的化学脱氢方法来获取这种燃料。虽然过渡金属基催化剂有望成为传统贵金属的低成本替代品,但其低活性和稳定性限制了其在工业脱氢反应中的应用。沉积在富含缺陷的BN纳米片(Ni/BN)催化剂上的超微小镍纳米团簇(~1.5 nm)的设计和合成,该催化剂具有**的甲醇脱氢活性和选择性,并且比其他一些过渡金属基催化剂具有更高的稳定性。

研究发现二维(2D)BN与金属纳米粒子之间的金属-载体相互作用不仅在促进具有高催化活性的超小型镍纳米团簇的一锅合成中起着至关重要的作用,有助于分散和固定纳米团簇,而且还大大增强了甲醇脱氢过程中的抗烧结和结焦性。与先前报道的其他一些脱氢催化剂相比,该催化剂的周转频率(TOF)是**的。
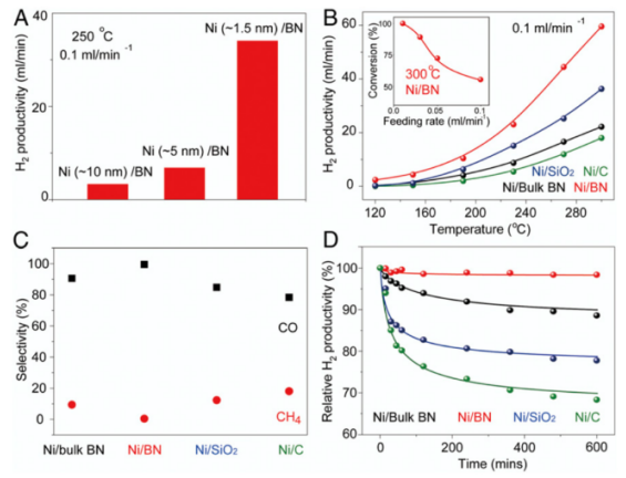
Ni/BN催化剂样品在反应温度低至120℃时,对甲醇分解具有良好的活性,证实了该催化剂具有良好的催化活性。而且,Ni/BN催化剂对H2和CO的选择性接近**,经过超过10 h的测试,Ni/BN催化剂未见明显失活,说明Ni/BN催化剂用于甲醇脱氢的稳定性。
提供了详细的光谱表征和密度泛函理论(DFT)计算来揭示镍/氮化硼纳米催化剂所表现出的高生产效率、高选择性和高耐用性的起源,并阐明其与纳米团簇尺寸和载体-纳米团簇相互作用的相关性。


我们可以提供Au25纳米团簇/Au13纳米团簇/Au8纳米团簇/Au36(SR)24/Au15(SG)13//Au44(SCH3)28金纳米团簇等,并且我们可以提供官能团修饰、蛋白修饰、酶修饰、DNA修饰、壳聚糖、多肽、叶酸等修饰偶连纳米团簇的定制合成技术。
相关产品
二氧化硅包覆的金纳米团簇(silica-coated gold nanocluster,AuNC@SiO2)
牛血清蛋白(BSA)功能化水溶性金纳米团簇(BSA-Au NCs)材料
组氨酸/谷胱甘肽混合修饰金纳米团簇
石墨烯复合物改性金纳米团簇(rGO/(PEI/PAA)_n/PEI-AuNCs)
水溶性的硫普罗宁TPN修饰荧光金纳米团簇(TPN-Au NCs)
碳-金纳米团簇复合材料
转铁蛋白(Tf)合成金纳米团簇(AuNCs@Tf)
水溶性单分散的金银纳米团簇
精氨酸/6氮杂2硫代胸腺嘧啶金纳米团簇
羧化壳聚糖二硫苏糖醇金纳米团簇
谷胱甘肽GSH包覆的纳米团簇
2巯基咪唑牛血清白蛋白金纳米团簇荧光材料
金纳米团簇/聚合物复合纳米探针材料
靶向线粒体功能化荧光金纳米团簇(CCYKFR-AuNCs)
铂镍合金纳米团簇
镉掺杂金纳米团簇Cd1Au24(PhC2H4S)18的合成材料
Au36-xAgx(SR)24和Au20Ag(SC4H9)15纳米团簇的定制
金属纳米团簇MOFs复合材料
胰凝乳蛋白酶修饰的金纳米团簇荧光材料
二巯基己烷修饰的金属纳米团簇
脲酶-金纳米团簇荧光材料
单链DNA功能化金纳米团簇
分散诱导DNA-金银纳米团簇
赖氨酸金纳米簇
碳负载金属纳米团簇
牛血清白蛋白(BSA)修饰的金纳米团簇
Au_(36)/Au_(44)/Au_(144)/Au_(133)/Au_(n2)/Au_(n1)/Au_(n2)/
BSA/3-MPA-金纳米团簇
1-甲基-5-巯基四氮唑偶联牛血清白蛋白合成金纳米团簇材料
金纳米团簇-聚电解质复合物
金铂合金纳米团簇材料
氨基/羧基/PEG/BSA/溶菌酶修饰AuNCs 金纳米团簇
阿霉素轭合叶酸修饰金纳米团簇
氨基酸修饰金纳米颗粒/纳米团簇
赖氨酸/精氨酸修饰金纳米颗粒/纳米团簇
聚乙二醇包覆金纳米团簇AuNCs-PEG
二氧化硅包裹金纳米团簇
卵清蛋白修饰金纳米团簇OVA-AuNCs
中空磷参杂二硒化钴纳米团簇修饰的碳纳米片
胞嘧啶和腺嘌呤耦合寡聚核苷酸序列定制DNA-AgNCs
BSA-Au20NCs荧光探针
单分散的Ni-La-B非晶态合金纳米团簇
C_(60)原位修饰金属纳米团簇杂化材料
纳米金团簇修饰电极
Au13簇/Au8簇
Fe3O4纳米团簇包覆氧化硅(SiO2)Fe3O4@SiO2粒子
壳聚糖接枝聚(L-赖氨酸)树枝状大分子的金纳米团簇AuNCs-CS
手性钛氧纳米团簇负载MOF(HKUST-1)有机框架
单链DNA修饰两种不同荧光的金纳米簇(Au NCs)
五肽保护金纳米团簇
蛋氨酸/多肽保护的**细胞特异性荧光金纳米团簇
金银合金纳米团簇
多元单层修饰的金纳米团簇(Au-MMPCs)
单分子修饰金纳米团簇(Au-MPCs)
多肽功能化金纳米金簇AuNCs-PEG-RGD
红细胞膜包覆的金纳米团簇/豌豆蛋白复合纳米颗粒(AuNCs/PPI@RBC)
辣根过氧化物酶修饰金纳米团簇HRP-AuNCs
牛血清蛋白功能化金纳米团簇(BSA-Au NCs)光散射探针
3‑巯基丙酸‑牛血清白蛋白‑金纳米团簇
1‑甲基‑5‑巯基四氮唑‑牛血清白蛋白‑金纳米团簇荧光材料
氯金酸/2‑巯基咪唑‑牛血清白蛋白‑金纳米团簇荧光材料
人血清白蛋白修饰纳米金簇HSA-AuNCs
人转铁蛋白修饰金纳米团簇
胰岛素修饰金纳米团簇
生物素修饰金纳米簇Biotin-PEG-AuNCs
氨基NHS修饰金纳米簇AuNCs-PEG-NHS
马来酰亚胺功能化金纳米簇AuNCs-PEG-MAL
炔基修饰金纳米团簇颗粒AuNCs-PEG-Alkyne
DBCO修饰金纳米团簇
葡聚糖修饰金纳米团簇AuNCs-Dex
甘露糖修饰单金属纳米团簇Mannose-AuNCs
半乳糖修饰纳米金团簇
磷脂/胆固醇修饰金纳簇AuNCs
Au15(SG)13金纳米团簇
zzj 2021.3.2




齐岳微信公众号
官方微信
库存查询