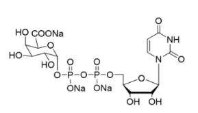
产品名称:UDP-半乳糖醛酸
英文名称:UDP-galacturonic acid,UDP-GalA
cas:148407-07-2
分子式 C15H19N2O18P2Na3
分子量 646.23
储存条件 -20°C储存

产地:西安
规格:1mg 5mg 10mg
纯度:99%
厂家:西安齐岳生物科技有限公司
用途:仅用于科研
温馨提示:仅用于科研,不能用于人体实验!
西安齐岳生物提供UDP(尿苷二磷酸),GDP(二磷酸鸟嘌呤核苷)与GMP(一磷酸鸟苷/鸟苷酸)偶联糖(赤藓糖、果糖、岩藻糖、半乳糖、葡萄糖等)。
核苷酸糖是核苷二磷酸或核苷一磷酸与不同单糖异头体羟基形成的衍生物,是糖类合成或相互转换时的活化形式,如GDP-Fuc,CMP-SA,UDP-Gal。核苷酸糖是核糖核苷酸的组成部分,核糖核苷酸分解生成核苷酸糖,合成核糖核苷酸是消耗核苷酸糖。
相关产品:
Uridine 5'-diphospho-galuronic acid trisodium
UDP-GalA
UDP-A-D-半乳糖醛酸三钠盐
UDP-GalA.3Na
Uridine5'-diphospho-galuronicacidtrisodium
UDP-a-D-galacturonidetrisodiemsalt
(2S,3R,4S,5R,6R)-6-[[[(2R,3S,4R,5R)-5-(2,4-dioxopyrimidin-1-yl)-3,4-dihydroxyoxolan-2-yl]methoxy-hydroxyphosphoryl]oxy-hydroxyphosphoryl]oxy-3,4,5-trihydroxyoxane-2-carboxylicacid
尿苷二磷酸修饰半乳糖醛酸三钠盐
编辑:Qiyue hao,2022年11月30日,该产品仅用于科研,不可用做其他用途,如因违反而产生不良后果,皆与本公司无关。




齐岳微信公众号
官方微信
库存查询