中文名称:聚甲基丙烯酸甲酯-双溴基
英文简称:PMMA-2Br
英文全称:Poly(methyl methacrylate), α,ω-bis(bromo)-terminated
英文别名:Poly(methyl methacrylate), bis(bromo)-terminated
CAS号:n/a; PMMA: 9011-14-7
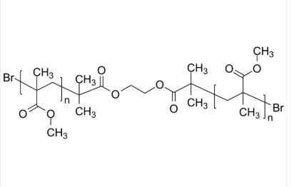
分子式:Br[C5H8O2]nBr
主链结构:直链均聚物
主要成分:PMMA
亲疏水性:疏水
产品类型:端基功能化修饰高分子
荧光/发光:无
外观/形态:固态粉末或颗粒(以实际外观为准)
纯度:≤ 100%
结构式:

包装: 瓶装
用途:用于医学研究,药物释放,纳米技术和新材料研究。
品牌:齐岳生物
产地:西安
供应商:西安齐岳生物科技有限公司
温馨提示:仅用于科研实验,不能用于人体!
温馨提示:仅用于科研实验,不能用于人体!
西安齐岳生物科技有限公司是国内的高分子聚合物合成厂家,我公司可以提供各种不同的聚合物的嵌段共聚物,有均聚物,嵌段共聚物,星形聚合物等,聚合物包括有PEG、PLGA、PLA、PCL、PS、PLL,PtBA,PMMA,PAA,P4VP,P2VP,PNIPAAm,聚赖氨酸、聚谷氨酸、聚天冬氨酸、PEI、以及其他基团或者多肽聚合物,种类多,可提供定制服务。
相关产品:
右旋糖酐-氨基 Dextran-NH2 | Dextran Amine (Dextran functionalized with primary amine)
右旋糖酐-荧光素 CM-Dextran-FITC | CM-Dextran Fluorescein
右旋糖酐-荧光素 DEAE-Dextran-FITC | DEAE-Dextran Fluorescein
聚蔗糖-荧光素 Ficoll-FITC | Ficoll Fluorescein
生物素-右旋糖酐-荧光素 Biotin-Dextran-FITC | Biotin-Dextran-Fluorescein
肝素-荧光素 Heparin-FITC | Heparin Fluorescein (FITC fluorescent dye labeled Heparin)




齐岳微信公众号
官方微信
库存查询