DSPE-PEG-TAT,磷脂-聚乙二醇-靶向穿膜肽TAT,TAT-PEG-DSPE的结构式以及分子量
        
 
        
          发布时间:2022-12-02     作者:zhn   分享到: 
          
           
           
          
        
 
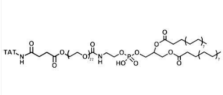
        DSPE-PEG-TAT,磷脂-聚乙二醇-靶向穿膜肽TAT,TAT-PEG-DSPE

产品名称 磷脂-聚乙二醇-靶向穿膜肽TAT TAT-PEG-DSPE
中文名称 磷脂-聚乙二醇-靶向穿膜肽
英文名称 DSPE-PEG-TAT
分子量 2000
CAS N/A
溶解度 有机溶剂等
存储条件 -20℃以下冰冻、干燥、避光。长期保存惰性(氩气或者氮气)保护。
多肽序列 YGRKKRRQRRR
其它分子量 600 1000 2000 3400 5000 10000
DSPE-PEG-TAT靶向穿膜肽TAT -聚乙二醇-磷脂具有**的细胞穿透力且能直接作用于细胞核。TYR-GLY-ARG-LYS-LYS-ARG-ARG-GLN-ARG-ARG-ARG
产地:西安
用途:科研
其他同系列产品:
cRGD-PEG-NH2
cRGD-PEG-DSPE
cRGD-PEG-Acrylate
cRGD-PEG-Folate
cRGD-PEG-Cy3
cRGD-PEG-Cy5
RGD-PEG-PLA




 齐岳微信公众号
齐岳微信公众号
         官方微信
官方微信
         库存查询
库存查询