西安齐岳生物科技有限公司经营的产品种类包括有:近红外荧光染料、点击化学产品、合成磷脂、高分子聚乙二醇衍生物、嵌段共聚物、磁性纳米颗粒、纳米金及纳米金棒、活性荧光染料、的葡聚糖BSA和链霉亲和素、蛋白交联剂、小分子PEG衍生物、树枝状聚合物、环糊精衍生物、大环配体类、荧光量子点、透明质酸衍生物、石墨烯或氧化石墨烯、碳纳米管、富勒烯,二氧化硅及介孔二影产品,荧光蛋白及荧光探针等,欢迎咨询。
产品名称:MaleiMido-Mono-aMide-DOTA-tris (t-Bu ester),1613382-10-7
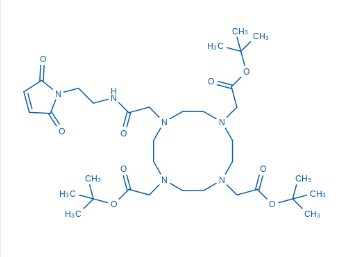
一、基本信息
英文名称:Maleimido-Mono-amide-DOTA-tris (t-Bu ester)
CAS号:1613382-10-7
分子式:C34H58N6O9(可能因具体产品而略有差异,如C34H58N6O9·HPF6,此时分子量会相应增加)
分子量:694.86(可能因具体产品而略有差异,如840.8)
二、结构特点
Maleimido-Mono-amide-DOTA-tris (t-Bu ester)由DOTA(1,4,7,10-四氮杂环十二烷-1,4,7,10-四乙酸)部分、一个酰胺基团和一个马来酰亚胺基团组成,并且DOTA的三个乙酸基团被叔丁酯(t-Bu ester)保护。
三、物理与化学性质
溶解性:可溶于水和多种有机溶剂,如二甲基亚砜(DMSO)、二甲基甲酰胺(DMF)和甲醇。
稳定性:在干燥、避光、低温条件下储存可保持稳定。
四、应用
生物分子标记:Maleimido-Mono-amide-DOTA-tris (t-Bu ester)的马来酰亚胺基团可以与生物分子中的硫醇基团进行选择性反应,从而实现与生物分子的偶联。因此,它常被用于制备物、酶标抗体等生物分子标记物。
合成中间体:在化学合成中,Maleimido-Mono-amide-DOTA-tris (t-Bu ester)可以作为合成其他复杂有机分子的中间体。其良好的化学结构使得它能够在多种反应条件下保持稳定,并与其他化学试剂发生有效的反应。
五、合成方法
Maleimido-Mono-amide-DOTA-tris (t-Bu ester)的合成通常包括三个主要步骤:
DOTA三叔丁酯的合成:首先合成DOTA的三叔丁酯衍生物。
酰胺基团的引入:在DOTA三叔丁酯上引入酰胺基团。
马来酰亚胺基团的连接:最后,将马来酰亚胺基团连接到酰胺基团上,得到Maleimido-Mono-amide-DOTA-tris (t-Bu ester)。
产地:西安
纯度:95%以上
状态:固体/粉末/溶液
温馨提示:仅用于科研,不能用于人体实验!wyh

相关产品
DOTA-Ala-Ala-COOH
Cbz-Gly-Gly-Arg-Asp-Orn-Thr-Ala-COOH
Fmoc-L-Lys-mono-amide-DOTA-tris(t-Bu ester)
Ho-p-SCN-Bn-DOTA
Maleimido-mono-amide-DOTA-tris (t-Bu ester)
DOTA-TAT(48-60)
DOTA-(t-Butyl)3-PEG-azide
Butyne-DOTA-tris(t-butyl ester)
PAMAM-PEG-DOTA-Gd
DOTA-CH2-Ph-azide (TFA salt)
2-Aminoethyl-mono-amide-DOTA-tris(t-Bu ester)
cyclo(RGDFK(DOTA))
DOTA-Biotin-Sarcosine




齐岳微信公众号
官方微信
库存查询