中文名称:酰肼-聚乙二醇-聚丙二醇-聚乙二醇-酰肼
英文简称:PEO-PPO-PEO-2NHNH2
英文全称:Poly(ethylene oxide)-b-poly(propylene oxide)-b-poly(ethylene oxide), α,ω-bis(hydrazide)-terminated
英文别名:Poly(ethylene glycol-block-propylene glycol-block-ethylene glycol), α,ω-bis(hydrazide)-terminated
CAS号:n/a; PEO-PPO-PEO: 9003-11-6
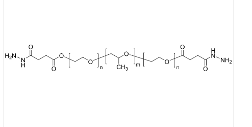
分子式:C4H7N2O3[C2H4O]n [C3H6O]m [C2H4O]nC4H7N2O2
主链结构:ABA三嵌段共聚物
主要成分:PEO-PPO-PEO
亲疏水性:两亲性
产品类型:端基功能化修饰高分子
荧光/发光:无
外观/形态:固态粉末或颗粒(以实际外观为准)
纯度:≤ 100%
结构式:

包装: 瓶装
用途:用于医学研究,药物释放,纳米技术和新材料研究。
品牌:齐岳生物
产地:西安
供应商:西安齐岳生物科技有限公司
温馨提示:仅用于科研实验,不能用于人体!
西安齐岳生物科技有限公司提供PLGA,PCL,PAMAM,PAA等聚合物的定制合成,提供基本活性基团修饰,等等。
相关产品:
3-Arm PDMS 3臂星形-聚二甲基硅氧烷 Poly(dimethyl siloxane), 3-arm star polymer / Core: silane
3-Arm PDMS 3臂星形-聚二甲基硅氧烷 Poly(dimethyl siloxane), 3-arm star polymer / Core: 3-silylpropan-1-amine
3-Arm Polyfarnesene 3臂星形-聚法尼烯/聚金合欢烯 Poly(1,4-farnesene), 3-arm star polymer / Core: chlorosilane
4-Arm Polyfarnesene 4臂星形-聚法尼烯/聚金合欢烯 Poly(1,4-farnesene), 4-arm star polymer, nonsym




齐岳微信公众号
官方微信
库存查询