中文名称:聚(2-甲基恶唑啉)-聚二甲基硅氧烷-聚(2-甲基恶唑啉)-双氨基
英文简称:NH2-PMOXZ-PDMS-PMOXZ-NH2
英文全称:Poly(2-methyl oxazoline)-b-poly(dimethyl siloxane)-b-poly(2-methyl oxazoline), α,ω-bis(amino)-terminated
英文别名:Poly(methyl oxazoline-block-dimethylsiloxane-block-methyl oxazoline), α,ω-bis(amino)-terminated
CAS号:n/a; PDMS: 9016-00-6/63148-62-9
分子式:C8H17N2O[C4H7NO]n [Si(CH3)2O]m [C4H7NO]nN2OC8H17
主链结构:ABA三嵌段共聚物
主要成分:PMOXZ/PMEOXZ
亲疏水性:两亲性
产品类型:端基功能化修饰高分子
荧光/发光:无
外观/形态:固态粉末或颗粒(以实际外观为准)
纯度:≤ 100%
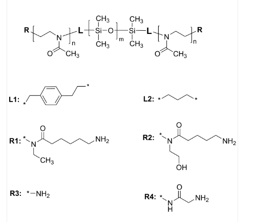
结构式:

包装: 瓶装
用途:用于医学研究,药物释放,纳米技术和新材料研究。
品牌:齐岳生物
产地:西安
供应商:西安齐岳生物科技有限公司
温馨提示:仅用于科研实验,不能用于人体!
西安齐岳生物科技有限公司提供PLGA,PCL,PAMAM,PAA等聚合物的定制合成,提供基本活性基团修饰,等等。
相关产品:
36-Arm PBd 36臂星形-聚丁二烯 Poly(1,4-butadiene), 36-arm star polymer / Core: oligo(butadiene)
38-Arm PBd 38臂星形-聚丁二烯 Poly(1,4-butadiene), 38-arm star polymer / Core: oligo(butadiene)
50-Arm PBd 50臂星形-聚丁二烯 Poly(1,4-butadiene), 50-arm star polymer / Core: oligo(butadiene)
6-Arm PBd 6臂星形-聚丁二烯 Poly(1,4-butadiene), 6-arm star polymer / Core: tetrakis(2-silylethyl)silane




齐岳微信公众号
官方微信
库存查询