中文名称:聚苯乙烯共异戊二烯-硫醇
英文简称:PSIPran-SH
英文全称:Poly(styrene-co-1,2-isoprene-co-3,4-isoprene), ω-thiol-terminated
英文别名:Poly(styrene-isoprene), mono-thiol-terminated
CAS号:n/a; PS: 9003-53-6; PIP: 9003-31-0; Polyisoprene, cis-isomer (1,4-addition): 104389-31-3; Polyisoprene, trans-isomer (1,4-addition): 104389-32-4
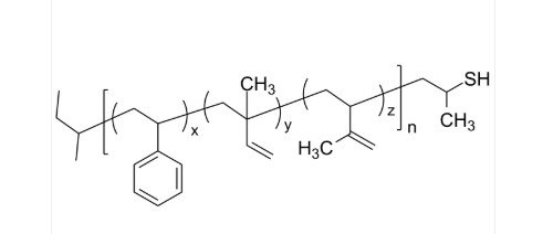
分子式:C4H9[(C8H8)x(C5H8)y]nC3H6SH
主链结构:无规共聚物
主要成分:PIP
亲疏水性:疏水
产品类型:高分子硫醇
荧光/发光:无
外观/形态:固态粉末或颗粒(以实际外观为准)
纯度:≤ 100%
结构式:

包装: 瓶装
用途:用于医学研究,药物释放,纳米技术和新材料研究。
品牌:齐岳生物
产地:西安
供应商:西安齐岳生物科技有限公司
温馨提示:仅用于科研实验,不能用于人体!
温馨提示:仅用于科研实验,不能用于人体!
西安齐岳生物科技有限公司提供PLGA,PCL,PAMAM,PAA等聚合物的定制合成,提供基本活性基团修饰,等等。
相关产品:
8-Arm PMMA-PS 8臂星形-聚甲基丙烯酸甲酯-聚苯乙烯 星形二嵌段共聚物
14-Arm PS-PMMA 14臂星形-聚苯乙烯-聚甲基丙烯酸甲酯 星形二嵌段共聚物
multi-arm PS-PtBuA-PMMA 多臂星形-聚苯乙烯-聚丙烯酸叔丁酯-聚甲基丙烯酸甲酯 星形ABC三嵌段共聚物
3-Arm PIP 3臂星形-聚异戊二烯 Poly(isoprene), 3-arm star polymer / Core: 2,4,6-tripropoxy-1,3,5-triazine
4-Arm PCL 4臂星形-聚己内酯 Poly(ε-caprolactone), 4-arm star polymer / Core: pentaerythritol
6-Arm PCL 6臂星形-聚己内酯 Poly(ε-caprolactone), 6-arm star polymer / Core: dipentaerythritol
6-Arm PCL 6臂星形-聚己内酯 Poly(ε-caprolactone), 6-arm star polymer / Core: trimethylolpropane ethoxylate
5-Arm PEG-OH 5臂星形-聚乙二醇-羟基 Poly(ethylene oxide), hydroxy-terminated 5-arm star polymer




齐岳微信公众号
官方微信
库存查询